微波通信天線選擇與優化方法研究
作者:楊國榮 史富強
來源:電子設計工程
日期:2009-12-30 09:09:54
摘要:隨著無線通信技術的迅速發展,微波通信技術通信的應用的范圍非常廣泛。微波天線是微波通信系統中最重要的部分,凡是能利用電磁波來傳遞的信息幾乎都依靠微波天線傳遞與互換,同時微波天線也可輻射電磁波等能量。
1 引言
隨著無線通信技術的迅速發展,微波通信技術通信的應用的范圍非常廣泛。微波天線是微波通信系統中最重要的部分,凡是能利用電磁波來傳遞的信息幾乎都依靠微波天線傳遞與互換,同時微波天線也可輻射電磁波等能量。微波天線是微波通信系統收發設備的“出入口”,天線性能直接影響整個系統的運行。目前關于微波天線優化的研究成果雖然很多,但多數均是從單一因素進行考慮,優化效果并不是非常理想,本文通過綜合考慮多種因素并優化微波天線選擇參數來尋找更合理的選擇方法。
2 微波天線選擇時應考慮的因素研究
圖1為微波傳播示意圖,微波信號在傳輸過程中,會受到大氣、海面、地面、高大建筑物、山峰的折射和繞射等影響,導致信號衰落和失真,甚至中斷。因此對微波傳輸天線進行優化,必須根據微波通信的基本特點,研究微波在傳輸過程中受到的影響因素,進而進行優化以減少信號衰落和失真。
2.1 地面地形因素
在微波通信系統中,信號傳輸主要利用微波的視距傳播。微波通信的頻率大部分在2~20 GHz范圍內,不同的地形條件,其反射系數及電平損耗不同。無線電波在自由空間傳輸時,其單位面積內的能量會因自由擴散而減少,所減小的能量稱為自由空間傳輸損耗,用Ls表示,單位為分貝(dB),其計算公式為:
式中,f為發射頻率,GHz;d為站距,km。
由式(1)可見,微波傳播過程中樹林、建筑、山頭或地面障礙物等會阻擋一部分電磁波,增加損耗。而平滑地面或水面可將一部分信號反射到接收天線,反射波和直射波矢量相加可能相互抵消而產生附加損耗。地面反射對視距傳播有重要影響,它是產生電平衰落的主要原因之一。但當微波傳輸路徑上有刀刃形障礙物(或山峰)阻擋時,如果障礙物的尖峰恰好落在兩個相鄰微波站的收信天線和發信天線的連線上,微波傳輸會增加6 dB電平衰耗;當障礙物的尖峰超出連線時,電平衰耗將增加更快,實際應用中應避免出現這種情況,可通過改動微波傳輸線路或增高天線來改動傳輸特性。為更好的分析微波的傳播特性,應用菲涅爾區的概念進行分析,則從波源到觀察點的電波可認為是通過許多菲涅爾區傳播的,且在觀察點的合成場強E≈E1/2(E1為第一菲涅爾區的場強),即只要保證第一菲涅爾區的一半不被地形地物遮擋.就可近似得到自由空間傳播時的場強。若要知道阻擋物多高才能滿足傳播條件,必須計算第一菲涅爾區的半徑F1單位為m,計算方法為:
式中,d指收發間距離,km;λ是波長,m。
由式(2)可知,為避免附加損耗,必須使所有障礙物都處于第一菲涅爾區以外。在地面障礙物高度一定的情況下,波長越長,電波傳播主要通道的橫截面積越大,相對遮擋面積就越小,接收點場強就越大,因此,頻率越低,繞射能力越強。
2.2 地面反射因素
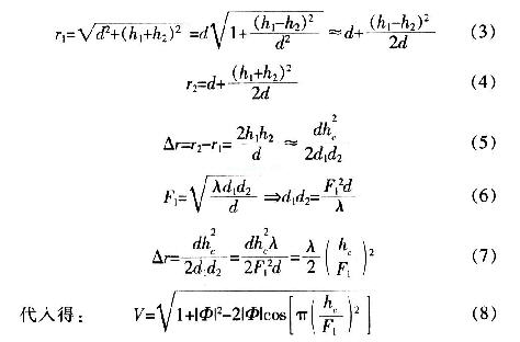
在微波的傳播過程中,在接收點除收到直射波外,還會收到經地面反射的反射波。反射點到直射波的垂直距離稱余隙hc,接收點的合成場強與自由空間場強之比稱為地面反射引起的衰落因子,用V表示,單位為dB,hc/F1稱相對余隙。借助余隙hc計算V,其計算過程如下:
式中,r1為直射路徑,m;r2為反射路徑,m;△r為行程差,m;hc為余隙,m;F1為第一菲涅耳區半徑,m;φ為反射系數。
從以上計算過程可知,衰落因子V與相對余隙HC/F1有關。如圖2所示,當hc/F1=0.577時,V=1,VdB=0 dB,收信場強E=E0,此時余隙具有特殊意義,記為h0=0.577F1稱為自由空間余隙。當hc/F1<0.577時,發生繞射衰落較大;隨著余隙增大,反射點處于第一菲涅爾區,反射信號與直射信號同相相加,使衰落因子出現正值;當余隙增大到一定程度時,反射點進入第二菲涅爾區內,反射信號與直射信號反相,衰落因子急劇下降,甚至會造成信號中斷。
2.3 大氣的影響
大氣中帶電粒子都有其固定的電磁諧振頻率,當接近諧振頻率時就會產生共振吸收,使微波產生衰減,但其相對于自由空間產生的衰減是微不足道的;另外雨霧中的小水滴也會使電磁波產生散射衰落,一般在10 GHz以下,衰耗并不嚴重。因此,這里主要研究大氣折射的影響。
考慮電波折射,地球等效半徑Re等效地球凸起高度為:
設地球凸起的高度變化為△he,在數值上,余隙的變化就是地球凸起高度的變化。即:
等效后的余隙hce為:
由式(13)可知:當K>1,正折射時,等效余隙hce增大;K<1,負折射時,等效余隙hce減少。在實際選用天線時要綜合考慮各種因素,應重點考慮地形、地面反射和大氣折射的影響。
3 微波天線優化方法的研究
為保證微波天線的發送端可有效將信號發送至目的地或中繼站,在接收端能夠可靠接收到信號,應在充分考慮地面、大氣及其他自然因素影響的基礎上采取一定優化措施。
3.1 分集技術的優化
分集技術,就是在接收端將相關性較小的多路收信機輸出信號進行選擇或合成,從而減輕多徑衰落造成的影響。分集技術是通過查找和利用自然界無線傳播環境中獨立的(至少是高度不相關的)多徑信號來實現的,如果一條無線傳播路徑經歷了深度衰落,而另一條相對獨立的路徑中可能仍包含較強的信號,因此可以在多個信號中選擇2個或更多的信號進行合并,這樣可同時提高接收端的瞬時信噪比和平均信噪比.一般可提高20~30 dB。具體實現方法有以下幾種:
(1)空間分集又稱天線分集 圖3是移動通信中使用較多的分集形式,采用多副接收天線來接收信號,然后進行合并。為保證接收信號的獨立性,要求天線問的距離足夠大,在理想情況下,接收天線之間的距離只要大于波長λ的一半即可。從技術角度講,分集天線數即分集重數越多,性能改善越好,但當分集重數多到一定程度數時,分集重數繼續增多,性能改善量將逐步減小。因此,分集重數在2~4重較合適。
(2)極化分集在移動環境下,空中的水平路徑和垂直路徑是不相關的,因而信號也呈現不相關的衰落特性。在發射和接收端各裝兩副天線,一副水平極化天線,一副垂直極化天線,可得到2個不相關的信號。在蜂窩移動用戶激增時,這一技術在改進鏈路的傳輸效率和提高容量方面效果明顯。
(3)角度分集信號在傳輸過程中受環境影響,使得到達接收端的信號不可能是同方向的,這樣在接收端安裝方向性天線可合并不相關的信號。
分集改善效果指比較采用分集技術與不采用分集技術對減輕深衰落影響的效果。常用標稱改善效果定量衡量分集的改善程度,即用分集增益和分集改善度2個指標來描述。分集增益是指在某一累積時間百分比內,分集接收與單一接收的收信電平差。這一電平差越大,分集增益越高,說明分集改善效果越好。分集改善度指在某一相對的收信電平時,單一接收與分集接收的衰落累積時間百分比之比,其比值越大,說明分集改善效果越好。
3.2 自適應均衡技術的優化
電波在空間輻射時,由于高山、建筑物的反射形成多條路徑傳輸。接收端的接收信號是各路徑不同時延波形的疊加。帶寬限制和非線性會造成信號波形畸變,引起相鄰碼元之間的串擾,以上情況都將引起誤碼。自適應均衡就是通過接收端的均衡器產生與信道特性相反的特性以抵消信道時變多徑傳播引起的干擾,可消除波形疊加、碼間串擾,也能減小加性噪聲干擾,從而減小誤碼的技術。均衡分為頻域均衡和時域均衡。頻域均衡指總的傳輸函數滿足無失真傳輸的條件。時域均衡是使總沖擊響應滿足無碼間干擾的條件。在實際電路中,往往同時采用頻域和時域自適應均衡器,最大限度地提高電路的抗衰落能力。
圖4為應用最廣泛的橫向濾波式均衡器原理框圖,該均衡器的橫向濾波器由2N級延遲線T和可調的加權電路組成,每級延遲1 bit。在中間(中心抽頭)脈沖S0的前后各有N個脈沖,總共有2N+1個脈沖。
天線的輸入阻抗是天線饋電端輸入電壓與輸入電流的比值。天線與饋線的連接,最佳情形是天線輸入阻抗是純電阻且等于饋線的特性阻抗,這時饋線終端無功率反射,饋線上沒有駐波,天線的輸入阻抗隨頻率的變化較平緩。天線的阻抗匹配就是消除天線輸入阻抗中的電抗分量,使電阻分量盡可能地接近饋線的特性阻抗。
4 結束語
微波天線作為無線通信不可缺少的一部分,其性能直接影響通信系統的指標。描述微波天線的特性參量有方向圖、方向性系數、增益、輸入阻抗、輻射效率、極化和頻帶寬度等。探討微波天線選擇時需考慮的因素,并從分集技術、自適應均衡技術、阻抗變換等方面提出優化方案,有一定創新思想。
隨著無線通信技術的迅速發展,微波通信技術通信的應用的范圍非常廣泛。微波天線是微波通信系統中最重要的部分,凡是能利用電磁波來傳遞的信息幾乎都依靠微波天線傳遞與互換,同時微波天線也可輻射電磁波等能量。微波天線是微波通信系統收發設備的“出入口”,天線性能直接影響整個系統的運行。目前關于微波天線優化的研究成果雖然很多,但多數均是從單一因素進行考慮,優化效果并不是非常理想,本文通過綜合考慮多種因素并優化微波天線選擇參數來尋找更合理的選擇方法。
2 微波天線選擇時應考慮的因素研究
圖1為微波傳播示意圖,微波信號在傳輸過程中,會受到大氣、海面、地面、高大建筑物、山峰的折射和繞射等影響,導致信號衰落和失真,甚至中斷。因此對微波傳輸天線進行優化,必須根據微波通信的基本特點,研究微波在傳輸過程中受到的影響因素,進而進行優化以減少信號衰落和失真。

2.1 地面地形因素
在微波通信系統中,信號傳輸主要利用微波的視距傳播。微波通信的頻率大部分在2~20 GHz范圍內,不同的地形條件,其反射系數及電平損耗不同。無線電波在自由空間傳輸時,其單位面積內的能量會因自由擴散而減少,所減小的能量稱為自由空間傳輸損耗,用Ls表示,單位為分貝(dB),其計算公式為:

式中,f為發射頻率,GHz;d為站距,km。
由式(1)可見,微波傳播過程中樹林、建筑、山頭或地面障礙物等會阻擋一部分電磁波,增加損耗。而平滑地面或水面可將一部分信號反射到接收天線,反射波和直射波矢量相加可能相互抵消而產生附加損耗。地面反射對視距傳播有重要影響,它是產生電平衰落的主要原因之一。但當微波傳輸路徑上有刀刃形障礙物(或山峰)阻擋時,如果障礙物的尖峰恰好落在兩個相鄰微波站的收信天線和發信天線的連線上,微波傳輸會增加6 dB電平衰耗;當障礙物的尖峰超出連線時,電平衰耗將增加更快,實際應用中應避免出現這種情況,可通過改動微波傳輸線路或增高天線來改動傳輸特性。為更好的分析微波的傳播特性,應用菲涅爾區的概念進行分析,則從波源到觀察點的電波可認為是通過許多菲涅爾區傳播的,且在觀察點的合成場強E≈E1/2(E1為第一菲涅爾區的場強),即只要保證第一菲涅爾區的一半不被地形地物遮擋.就可近似得到自由空間傳播時的場強。若要知道阻擋物多高才能滿足傳播條件,必須計算第一菲涅爾區的半徑F1單位為m,計算方法為:

式中,d指收發間距離,km;λ是波長,m。
由式(2)可知,為避免附加損耗,必須使所有障礙物都處于第一菲涅爾區以外。在地面障礙物高度一定的情況下,波長越長,電波傳播主要通道的橫截面積越大,相對遮擋面積就越小,接收點場強就越大,因此,頻率越低,繞射能力越強。
2.2 地面反射因素
在微波的傳播過程中,在接收點除收到直射波外,還會收到經地面反射的反射波。反射點到直射波的垂直距離稱余隙hc,接收點的合成場強與自由空間場強之比稱為地面反射引起的衰落因子,用V表示,單位為dB,hc/F1稱相對余隙。借助余隙hc計算V,其計算過程如下:

式中,r1為直射路徑,m;r2為反射路徑,m;△r為行程差,m;hc為余隙,m;F1為第一菲涅耳區半徑,m;φ為反射系數。
從以上計算過程可知,衰落因子V與相對余隙HC/F1有關。如圖2所示,當hc/F1=0.577時,V=1,VdB=0 dB,收信場強E=E0,此時余隙具有特殊意義,記為h0=0.577F1稱為自由空間余隙。當hc/F1<0.577時,發生繞射衰落較大;隨著余隙增大,反射點處于第一菲涅爾區,反射信號與直射信號同相相加,使衰落因子出現正值;當余隙增大到一定程度時,反射點進入第二菲涅爾區內,反射信號與直射信號反相,衰落因子急劇下降,甚至會造成信號中斷。
2.3 大氣的影響
大氣中帶電粒子都有其固定的電磁諧振頻率,當接近諧振頻率時就會產生共振吸收,使微波產生衰減,但其相對于自由空間產生的衰減是微不足道的;另外雨霧中的小水滴也會使電磁波產生散射衰落,一般在10 GHz以下,衰耗并不嚴重。因此,這里主要研究大氣折射的影響。


考慮電波折射,地球等效半徑Re等效地球凸起高度為:


設地球凸起的高度變化為△he,在數值上,余隙的變化就是地球凸起高度的變化。即:

等效后的余隙hce為:

由式(13)可知:當K>1,正折射時,等效余隙hce增大;K<1,負折射時,等效余隙hce減少。在實際選用天線時要綜合考慮各種因素,應重點考慮地形、地面反射和大氣折射的影響。
3 微波天線優化方法的研究
為保證微波天線的發送端可有效將信號發送至目的地或中繼站,在接收端能夠可靠接收到信號,應在充分考慮地面、大氣及其他自然因素影響的基礎上采取一定優化措施。
3.1 分集技術的優化
分集技術,就是在接收端將相關性較小的多路收信機輸出信號進行選擇或合成,從而減輕多徑衰落造成的影響。分集技術是通過查找和利用自然界無線傳播環境中獨立的(至少是高度不相關的)多徑信號來實現的,如果一條無線傳播路徑經歷了深度衰落,而另一條相對獨立的路徑中可能仍包含較強的信號,因此可以在多個信號中選擇2個或更多的信號進行合并,這樣可同時提高接收端的瞬時信噪比和平均信噪比.一般可提高20~30 dB。具體實現方法有以下幾種:
(1)空間分集又稱天線分集 圖3是移動通信中使用較多的分集形式,采用多副接收天線來接收信號,然后進行合并。為保證接收信號的獨立性,要求天線問的距離足夠大,在理想情況下,接收天線之間的距離只要大于波長λ的一半即可。從技術角度講,分集天線數即分集重數越多,性能改善越好,但當分集重數多到一定程度數時,分集重數繼續增多,性能改善量將逐步減小。因此,分集重數在2~4重較合適。

(2)極化分集在移動環境下,空中的水平路徑和垂直路徑是不相關的,因而信號也呈現不相關的衰落特性。在發射和接收端各裝兩副天線,一副水平極化天線,一副垂直極化天線,可得到2個不相關的信號。在蜂窩移動用戶激增時,這一技術在改進鏈路的傳輸效率和提高容量方面效果明顯。
(3)角度分集信號在傳輸過程中受環境影響,使得到達接收端的信號不可能是同方向的,這樣在接收端安裝方向性天線可合并不相關的信號。
分集改善效果指比較采用分集技術與不采用分集技術對減輕深衰落影響的效果。常用標稱改善效果定量衡量分集的改善程度,即用分集增益和分集改善度2個指標來描述。分集增益是指在某一累積時間百分比內,分集接收與單一接收的收信電平差。這一電平差越大,分集增益越高,說明分集改善效果越好。分集改善度指在某一相對的收信電平時,單一接收與分集接收的衰落累積時間百分比之比,其比值越大,說明分集改善效果越好。
3.2 自適應均衡技術的優化
電波在空間輻射時,由于高山、建筑物的反射形成多條路徑傳輸。接收端的接收信號是各路徑不同時延波形的疊加。帶寬限制和非線性會造成信號波形畸變,引起相鄰碼元之間的串擾,以上情況都將引起誤碼。自適應均衡就是通過接收端的均衡器產生與信道特性相反的特性以抵消信道時變多徑傳播引起的干擾,可消除波形疊加、碼間串擾,也能減小加性噪聲干擾,從而減小誤碼的技術。均衡分為頻域均衡和時域均衡。頻域均衡指總的傳輸函數滿足無失真傳輸的條件。時域均衡是使總沖擊響應滿足無碼間干擾的條件。在實際電路中,往往同時采用頻域和時域自適應均衡器,最大限度地提高電路的抗衰落能力。
圖4為應用最廣泛的橫向濾波式均衡器原理框圖,該均衡器的橫向濾波器由2N級延遲線T和可調的加權電路組成,每級延遲1 bit。在中間(中心抽頭)脈沖S0的前后各有N個脈沖,總共有2N+1個脈沖。

天線的輸入阻抗是天線饋電端輸入電壓與輸入電流的比值。天線與饋線的連接,最佳情形是天線輸入阻抗是純電阻且等于饋線的特性阻抗,這時饋線終端無功率反射,饋線上沒有駐波,天線的輸入阻抗隨頻率的變化較平緩。天線的阻抗匹配就是消除天線輸入阻抗中的電抗分量,使電阻分量盡可能地接近饋線的特性阻抗。
4 結束語
微波天線作為無線通信不可缺少的一部分,其性能直接影響通信系統的指標。描述微波天線的特性參量有方向圖、方向性系數、增益、輸入阻抗、輻射效率、極化和頻帶寬度等。探討微波天線選擇時需考慮的因素,并從分集技術、自適應均衡技術、阻抗變換等方面提出優化方案,有一定創新思想。