RFID系統天線設計
作者:姚平,黃健,劉殿金,孫罡
來源:現代電子技術
日期:2009-12-28 13:56:29
摘要:RFID技術在國內外得到了大量的應用,在公共交通、地鐵、校園、社會保障等領域均有應用。本文主要通過實際工作中對于各種RFID讀寫系統的對比,總結研究RFID讀寫器天線設計中比較實用的方法。
RFID(Radio Frequency。Identification,射頻識別技術)是自動識別技術的一種,通過無線射頻方式進行非接觸雙向數據通信,對目標加以識別并獲取相關數據。它的核心部件是讀寫器和電子標簽,通過相距幾厘米到幾米距離內讀寫器發射的無線電波,可以讀取電子標簽內存儲的信息,識別電子標簽代表的物品、人和器具的身份。RFID技術在國內外得到了大量的應用,在公共交通、地鐵、校園、社會保障等領域均有應用。本文主要通過實際工作中對于各種RFID讀寫系統的對比,總結研究RFID讀寫器天線設計中比較實用的方法。
1 實際RFID天線設計主要考慮物理參量
1.1 磁場強度
運動的電荷或者說電流會產生磁場,磁場的大小用磁場強度來表示。RFID天線的作用距離,與天線線圈電流所產生的磁場強度緊密相關。
圓形線圈的磁場強度(在近場耦合有效的前提下,近場耦合有效與否的判斷在1.3節)可用式(1)進行計算:
式中:H是磁場強度;I是電流強度;N為匝數;R為天線半徑;x為作用距離。
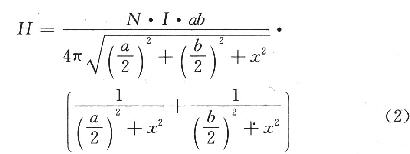
對于邊長ab的矩形導體回路,在距離為x處的磁場強度曲線可用下式計算。
結果證實:在與天線線圈距離很小(x<R)的情況下,磁場強度的上升是平緩的。較小的天線在其中心(距離為0)處呈現出較高的磁場強度,相對來講,較大的天線在較遠的距離(x>R)處呈現出較高的磁場強度。在電感耦合式射頻識別系統的天線設計中,應當考慮這種效應,如圖1所示。
1.2 最佳天線直徑
在與發射天線的距離x為常數并簡單地假定發射天線線圈中電流I不變的情況下,如果改變發送天線的半徑R時,就可以根據距離x與天線半徑R之間的關系得到最大的磁場強度H。這意味著:對于每種射頻識別系統的閱讀器作用距離都對應有一個最佳的天線半徑R。如果選擇的天線半徑過大,那么在與發射天線的距離x=0處,磁場強度是很小的;相反,如果天線半徑的選擇太小,那么其磁場強度則以z的三次方的比例衰減,如圖2所示。
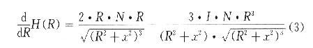
從數學上來說,也即對R求導,如式(3)所示:
從公式的零點中計算是拐點以及函數的最大值。
發射天線的最佳半徑對應于最大期望閱讀器的2孺值。第二個零點的負號表示導電路的磁場強度在x軸的兩個方向傳播。這里需要指出的是,使用此式的前提條件,是近場耦合有效。下面簡介近場耦合的概念。
1.3 近場耦合
真正使用前面所提到的公式時,有效的邊界條件為:
d《R以及x<λ/2π,原因是當超出上述范圍時,近場耦合便失去作用了,開始過渡到遠距離的電磁場。一個導體回路上的初始磁場是從天線上開始的。在磁場的傳輸過程中,由于感應的增加也形成電場。這樣,最原始的純磁場就連續不斷地轉換成了電磁場。當距離大于λ/2π的時候,電磁場最終擺脫天線,并作為電磁波進入空間。在作為電磁波進入空間之前的這個范圍,就叫做天線的近場,本文所涉及的RFID天線設計,是基于近場耦合的概念。所以距離應當限定在上述的范圍之內。
1.4 調諧
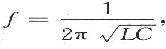
RFID系統讀寫器可以等效為一個R-L-C串聯電路,其中R為繞線線圈的電阻,L為天線自身的電感。一般調諧過程當中,由于天線線圈本身的電容對于諧振的影響很小,可以忽略不計,故為了使閱讀器在工作頻率下天線線圈獲得最大的電流,需要外加一個電容C,完成對天線的調諧,達到這一目的。而調諧電容,天線的電感以及工作頻率之間的關系,可以通過以下湯姆遜公式求得,即:
1.5 電感的估算
電感量值的物理意義是:在電流包圍的總面積中產生的磁通量與導體回路包圍的電流強度之比。實際RFID天線調試的時候,讀寫器天線電感量值可以通過阻抗分析儀測出,在條件有限的情況下,也常采用估算公式進行估算。假定導體的直徑d與導體回路直徑D之比很小(d/D<0.001),則導體回路的電感可簡單地近似為:
式中:N為繞線天線的匝數;R為天線線圈的半徑;d為導體的內徑;μ0為自由空間磁導率。
線圈匝數還有以下的近似公式進行估算,在實際應用中,兩個公式可以進行對照使用:
式中:L為線圈電感,單位為nH;A為天線線圈包圍面積,單位為cm2;D為導線直徑,單位為cm。
1.6 天線的品質因數
天線的性能還與它的品質因數有關。Q既影響能量的傳輸效率,也影響頻率的選擇性。過高的Q值雖然能使天線的輸出能量增大,但是同時,讀寫器的通帶特性也會受到影響。所以在實際調節Q值的時候,要進行折中的考慮。調節Q值,是通過在R-L-C等效電路上面串接一個電阻R1實現的,具體的公式如下:
Q=ωL/(R+R1) (8)
2 實際調試
RFID天線的設計需要考慮很多因素,上述幾個是實際的調試過程中的重要物理參量。明確了上述物理參量之后,在給定期望距離以及工作頻率等RFID系統要求之后,在條件有限的情況下,就可以根據需要進行簡單的RFID天線設計了。下面給出一個應用于軌道交通的RFID天線設計的實際例子。此處設計一個期望最大作用距離為1 cm,工作頻率在125 kHz的繞線天線,系統要求閱讀器天線線圈的半徑盡量小,不超過1 cm。具體步驟如下:
首先確定天線的最佳半徑,不宜太大也不宜太小,理想的最佳天線半徑應當為期望作用距離的2倍,在實際設計的時候,應當根據設計需求在設計中進行折衷的考慮,在保證系統要求的前提下,盡可能地接近最佳值。本例中閱讀器天線的最佳半徑應當為1.4 cm,但是考慮到系統對于天線半徑尺寸的要求不超過1 cm,所以實際中取半徑為0.8 cm。在允許的條件下,為使效果更好,可以加入一個帶有適量鐵氧體的天線骨架、天線以及閱讀器板子,如圖3所示。
計算出匝數大概在266圈左右,繞完后,根據湯姆遜公式
選取所用的調諧電容。用相關的儀器(如頻譜儀和矢量網絡分析儀)測量出諧振頻率,這個時候,由于電感量只是估算的,而且選用的匹配電容也是具有一定標稱值的,并不能做到與計算一致,所以總是會存在誤差。
由于調諧的電容是已知的,而且有固定的標稱值,可以根據湯姆遜公式由這個時候測得的頻率反推出在恰好達到此頻率的時候所需要的電感的大小,即繞線線圈電感。看頻率的偏移情況,按電感量估算公式逐步增加或者減少線圈匝數,直到達到指定的諧振頻率125 kHz。用矢量網絡分析儀以及頻譜儀測諧振頻率的實際圖片如圖4,圖5所示。
根據矢量網絡分析儀以及頻譜分析儀的顯示,本RFID天線已經成功諧振在125 kHz。接下來便可根據所提到的公式,計算出調Q值所用的電阻的大小,然后根據系統的要求進行進一步的聯調測試了。實際工程中,RFID讀寫器及標簽有各種電路結構,但是歸根到底都是等效成R-L-C諧振電路的,比如說PHILIPS的MIFARE系列讀寫器的天線設計,所以本文對于各種RFID系統的天線設計具有普遍的指導意義。
1 實際RFID天線設計主要考慮物理參量
1.1 磁場強度
運動的電荷或者說電流會產生磁場,磁場的大小用磁場強度來表示。RFID天線的作用距離,與天線線圈電流所產生的磁場強度緊密相關。
圓形線圈的磁場強度(在近場耦合有效的前提下,近場耦合有效與否的判斷在1.3節)可用式(1)進行計算:

式中:H是磁場強度;I是電流強度;N為匝數;R為天線半徑;x為作用距離。
對于邊長ab的矩形導體回路,在距離為x處的磁場強度曲線可用下式計算。

結果證實:在與天線線圈距離很小(x<R)的情況下,磁場強度的上升是平緩的。較小的天線在其中心(距離為0)處呈現出較高的磁場強度,相對來講,較大的天線在較遠的距離(x>R)處呈現出較高的磁場強度。在電感耦合式射頻識別系統的天線設計中,應當考慮這種效應,如圖1所示。

1.2 最佳天線直徑
在與發射天線的距離x為常數并簡單地假定發射天線線圈中電流I不變的情況下,如果改變發送天線的半徑R時,就可以根據距離x與天線半徑R之間的關系得到最大的磁場強度H。這意味著:對于每種射頻識別系統的閱讀器作用距離都對應有一個最佳的天線半徑R。如果選擇的天線半徑過大,那么在與發射天線的距離x=0處,磁場強度是很小的;相反,如果天線半徑的選擇太小,那么其磁場強度則以z的三次方的比例衰減,如圖2所示。

從數學上來說,也即對R求導,如式(3)所示:

從公式的零點中計算是拐點以及函數的最大值。

發射天線的最佳半徑對應于最大期望閱讀器的2孺值。第二個零點的負號表示導電路的磁場強度在x軸的兩個方向傳播。這里需要指出的是,使用此式的前提條件,是近場耦合有效。下面簡介近場耦合的概念。
1.3 近場耦合
真正使用前面所提到的公式時,有效的邊界條件為:
d《R以及x<λ/2π,原因是當超出上述范圍時,近場耦合便失去作用了,開始過渡到遠距離的電磁場。一個導體回路上的初始磁場是從天線上開始的。在磁場的傳輸過程中,由于感應的增加也形成電場。這樣,最原始的純磁場就連續不斷地轉換成了電磁場。當距離大于λ/2π的時候,電磁場最終擺脫天線,并作為電磁波進入空間。在作為電磁波進入空間之前的這個范圍,就叫做天線的近場,本文所涉及的RFID天線設計,是基于近場耦合的概念。所以距離應當限定在上述的范圍之內。
1.4 調諧
RFID系統讀寫器可以等效為一個R-L-C串聯電路,其中R為繞線線圈的電阻,L為天線自身的電感。一般調諧過程當中,由于天線線圈本身的電容對于諧振的影響很小,可以忽略不計,故為了使閱讀器在工作頻率下天線線圈獲得最大的電流,需要外加一個電容C,完成對天線的調諧,達到這一目的。而調諧電容,天線的電感以及工作頻率之間的關系,可以通過以下湯姆遜公式求得,即:

1.5 電感的估算
電感量值的物理意義是:在電流包圍的總面積中產生的磁通量與導體回路包圍的電流強度之比。實際RFID天線調試的時候,讀寫器天線電感量值可以通過阻抗分析儀測出,在條件有限的情況下,也常采用估算公式進行估算。假定導體的直徑d與導體回路直徑D之比很小(d/D<0.001),則導體回路的電感可簡單地近似為:

式中:N為繞線天線的匝數;R為天線線圈的半徑;d為導體的內徑;μ0為自由空間磁導率。
線圈匝數還有以下的近似公式進行估算,在實際應用中,兩個公式可以進行對照使用:

式中:L為線圈電感,單位為nH;A為天線線圈包圍面積,單位為cm2;D為導線直徑,單位為cm。
1.6 天線的品質因數
天線的性能還與它的品質因數有關。Q既影響能量的傳輸效率,也影響頻率的選擇性。過高的Q值雖然能使天線的輸出能量增大,但是同時,讀寫器的通帶特性也會受到影響。所以在實際調節Q值的時候,要進行折中的考慮。調節Q值,是通過在R-L-C等效電路上面串接一個電阻R1實現的,具體的公式如下:
Q=ωL/(R+R1) (8)
2 實際調試
RFID天線的設計需要考慮很多因素,上述幾個是實際的調試過程中的重要物理參量。明確了上述物理參量之后,在給定期望距離以及工作頻率等RFID系統要求之后,在條件有限的情況下,就可以根據需要進行簡單的RFID天線設計了。下面給出一個應用于軌道交通的RFID天線設計的實際例子。此處設計一個期望最大作用距離為1 cm,工作頻率在125 kHz的繞線天線,系統要求閱讀器天線線圈的半徑盡量小,不超過1 cm。具體步驟如下:
首先確定天線的最佳半徑,不宜太大也不宜太小,理想的最佳天線半徑應當為期望作用距離的2倍,在實際設計的時候,應當根據設計需求在設計中進行折衷的考慮,在保證系統要求的前提下,盡可能地接近最佳值。本例中閱讀器天線的最佳半徑應當為1.4 cm,但是考慮到系統對于天線半徑尺寸的要求不超過1 cm,所以實際中取半徑為0.8 cm。在允許的條件下,為使效果更好,可以加入一個帶有適量鐵氧體的天線骨架、天線以及閱讀器板子,如圖3所示。

計算出匝數大概在266圈左右,繞完后,根據湯姆遜公式
選取所用的調諧電容。用相關的儀器(如頻譜儀和矢量網絡分析儀)測量出諧振頻率,這個時候,由于電感量只是估算的,而且選用的匹配電容也是具有一定標稱值的,并不能做到與計算一致,所以總是會存在誤差。 由于調諧的電容是已知的,而且有固定的標稱值,可以根據湯姆遜公式由這個時候測得的頻率反推出在恰好達到此頻率的時候所需要的電感的大小,即繞線線圈電感。看頻率的偏移情況,按電感量估算公式逐步增加或者減少線圈匝數,直到達到指定的諧振頻率125 kHz。用矢量網絡分析儀以及頻譜儀測諧振頻率的實際圖片如圖4,圖5所示。

根據矢量網絡分析儀以及頻譜分析儀的顯示,本RFID天線已經成功諧振在125 kHz。接下來便可根據所提到的公式,計算出調Q值所用的電阻的大小,然后根據系統的要求進行進一步的聯調測試了。實際工程中,RFID讀寫器及標簽有各種電路結構,但是歸根到底都是等效成R-L-C諧振電路的,比如說PHILIPS的MIFARE系列讀寫器的天線設計,所以本文對于各種RFID系統的天線設計具有普遍的指導意義。