淺談TD-SCDMA智能天線基本原理和測試方法
作者:羅德與施瓦茨中國有限公司 黃小實
來源:電信網技術
日期:2010-02-04 09:21:37
摘要:智能天線比普通天線復雜得多,對智能天線系統的性能評估也比較復雜。在研發和生產階段必須對智能天線進行全面測試,這樣才能對其性能進行全面的考核,將智能天線的優勢發揮出來。使用一般的2端口或4端口矢網很難全面、快速地測試智能天線。而R&S的 ZVT 獨具8個端口,并有強大的Trace Math功能,因此能滿足智能天線的測試需求,能幫助天線廠家對其智能天線進行快速、全面的測試。
1 引言
作為第三代移動通信系統標準之一的TD-SCDMA,采用了兩項最為關鍵的技術,即智能天線技術和聯合檢測技術。其中智能天線對于系統的作用主要包括:
(1)通過多個天線通道功率的最大比合并以及陣列信號處理,明顯提高了接收靈敏度;
(2)波束賦形算法使得基站針對不同用戶的接收和發射很高的指向性,因此用戶間的干擾在空間上能夠得到很好的隔離;
(3)波束賦形對用戶間干擾的空間隔離,明顯增加了CDMA的容量,結合聯合檢測技術,使得TD-SCDMA能夠實現滿碼道配置;
(4)通過波束賦形算法能夠實現廣播波束寬度的靈活調整,這使得TD-SCDMA在網絡優化過程中小區廣播覆蓋范圍的調整可以通過軟件算法實現(常規基站天線的廣播波束是固定不可變的,若想調整覆蓋范圍必須要更換天線),從而明顯提高了網優效率;
(5)通過對天線陣進行波束賦形使得下行信號能夠對準一個(或若干個不同位置的用戶)用戶,這等效于提高了發射機的有效發射功率(EIRP)。
CDMA系統中采用了大功率線性功放,價格比較昂貴;采用智能天線技術的TD系統可以采用多個小功率功放,從而降低了制造成本。
2 基本工作機理
根據波束成形的實現方式以及目前的應用情況,智能天線通常可分為多波束智能天線和自適應智能天線。
多波束智能天線采用準動態預多波束的波束切換方式,利用多個不同固定指向的波束覆蓋整個小區,隨著用戶在小區中的移動,基站選擇其中最合適的波束,從而增強接收信號的強度。多波束智能天線的優點是復雜度低、可靠性高,但缺點是它受天線波束寬度等參數影響較大,性能差于自適應智能天線。
自適應智能天線采用全自適應陣列自動跟蹤方式,通過不同自適應調整各個天線單元的加權值,達到形成若干自適應波束,同時跟蹤若干個用戶,從而能夠對當前的傳播環境進行最大程度上的匹配。自適應智能天線在理論上性能可以達到最優,但是其實現結構和算法復雜度均明顯高于多波束智能天線。
TD-SCDMA系統采用的是自適應智能天線陣,天線陣列單元的設計、下行波束賦形算法和上行DOA預估是智能天線的核心技術。
智能天線陣的實現原理類型于相控陣天線。下面我們以一維線陣相控陣天線為例。
首先,作為最基本的一維波束掃描相控陣天線是一個等間距排列的直線陣列(見圖1),其中陣列的每個輻射單元的激勵相位可以變化,即當相鄰輻射單元的激勵相位呈特定的等差級數變化時,陣列方向圖是通過對每一列天線單元的幅度相位激勵進行調整實現波束掃描的。
其中:d為相鄰單元的間距,λ為天線工作頻率的波長
智能(自適應)天線系統以陣列天線和自適應信號處理算法為基礎,能夠從多個多路徑信號和干擾信號中把有用信號區分出來,自動地把主瓣最大值鎖定在有用的移動來波信號方向上,并自動減小干擾方向的付瓣電平。智能天線所具有的這種精確跟蹤能力和干擾抑制能力可以使在同一個小區內的幾個用戶使用相同的信道。
智能天線系統的工作機理概念可以用圖2 和圖3 予以描述。在圖2中,N個天線輻射單元接收到信號經過射頻放大后,在基帶的數字波束成形(DBF)網絡中采用Wi的復權系數加權并進行疊加合成,然后進入接收機,其中DSP智能算法處理器根據N個天線輻射單元來波的幅度/相位關系預測出有用信號的方向。疊加合成得到最大的接收信號。在圖3中,DSP根據上述預測的有用信號方向以及預測的干擾信號方向,可以自適應產生合適的Wi復權系數,并激勵各個天線單元的輻射,從而將主瓣板對準有用信號,將零點對消。
由于智能天線測試比普通天線要復雜得多,對智能天線的測試也比較復雜。以圖4給出的智能天線陣為例,我們可以將該天線的測量分為2類:電路參數測量和輻射參數測量。
電路參數包括:各端口輸入阻抗、相鄰天線單元端口隔離度、各天線端口有源反射系數、校準口到各天線單元的幅度相位一致性。
輻射參數測試包括:各天線單元的方向圖和增益、典型業務波束的方向圖和增益;廣播波束的方向圖和增益。
由于電路參數指標為智能天線出廠必測指標,下面我們重點探討一下智能天線的電路參數測試項目和測試方法。一個8單元單極化智能天線陣的電路參數測試包括:
(1)相鄰端口的隔離度,即S12、 S23、 S34、 S45 、 … S78 的特性(不包括校準口);
(2)校準口到各天線單元的幅相一致性,即S01、 S02、… 、S07 、S08 的幅度相位特性(Mag|S01|、| Mag|S02| 、Mag|S03| 、Mag|S04|、 Mag|S05|、Mag|S06|、Mag|S07| 、Mag|S08|;Pha|S01| 、Pha|S02|、 Pha|S03|、 Pha|S04|、 Pha|S05|、 Pha|S06|、Pha|S07 |、Pha|S08|);
(3)各天線端口的無源反射系數(或無源回波損耗),即S00、S11、S22、… 、S33 、 S88 的特性;
(4)各天線端口的有源反射系數(或有源回波損耗),考慮單元之間的互耦和各單元的幅相激勵問題。
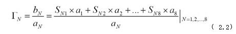
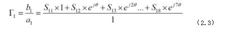
根據下面的S參數激勵矩陣模型
羅德與施瓦茨(R&S)的 ZVT 是業界唯一的8端口矢量網絡分析儀。它內置4個獨立的源,16個獨立接收通道,有著極快的測量速度,因此是針對智能天線和相控陣天線測試的最佳選擇(見圖5)。它可以一次完成一個S88全矩陣測試,這對2端口和4端口矢網是不可能實現的。
針對第3項測試(共需要9個端口),R&S ZVT只需要兩步就可完成(如圖6和圖7所示),同時結合Trace Math(軌跡計算,對多個軌跡進行任意的計算,以擴展測量功能)功能,可以實時的計算并顯示各通道幅度/相位一致性(如圖8所示)。
θ為智能天線合成波束的掃描角(此項為變量)
由圖9,圖10可知,利用ZVT的8端口和強大的Trace Math功能,可以實時的顯示任意掃描角下的各端口有源反射系數,為智能天線系統的研發和生產測試提供了極大的便利。
4 結束語
智能天線比普通天線復雜得多,對智能天線系統的性能評估也比較復雜。在研發和生產階段必須對智能天線進行全面測試,這樣才能對其性能進行全面的考核,將智能天線的優勢發揮出來。使用一般的2端口或4端口矢網很難全面、快速地測試智能天線。而R&S的 ZVT 獨具8個端口,并有強大的Trace Math功能,因此能滿足智能天線的測試需求,能幫助天線廠家對其智能天線進行快速、全面的測試。
附:相關名詞解釋
極化:是指電場在空間的運動軌跡。當電場的運動軌跡為一條直線,稱為線極化;當運動軌跡為一個圓(或橢圓)時,稱為圓(或橢圓)極化。線極化又分為垂直極化(即極化方向與地面垂直)和水平極化;圓極化又分為左旋圓極化和右旋圓極化(采用右手法則)。
天線增益:是指天線在空間某點的輻射功率相對于理想的點源(無方向性天線,實際上不存在)在該點的輻射功率之比。
有源反射系數:對一個多口天線(或微波器件)而言,其他若干個相關端口有激勵的條件下某個端口的反射系數。
作為第三代移動通信系統標準之一的TD-SCDMA,采用了兩項最為關鍵的技術,即智能天線技術和聯合檢測技術。其中智能天線對于系統的作用主要包括:
(1)通過多個天線通道功率的最大比合并以及陣列信號處理,明顯提高了接收靈敏度;
(2)波束賦形算法使得基站針對不同用戶的接收和發射很高的指向性,因此用戶間的干擾在空間上能夠得到很好的隔離;
(3)波束賦形對用戶間干擾的空間隔離,明顯增加了CDMA的容量,結合聯合檢測技術,使得TD-SCDMA能夠實現滿碼道配置;
(4)通過波束賦形算法能夠實現廣播波束寬度的靈活調整,這使得TD-SCDMA在網絡優化過程中小區廣播覆蓋范圍的調整可以通過軟件算法實現(常規基站天線的廣播波束是固定不可變的,若想調整覆蓋范圍必須要更換天線),從而明顯提高了網優效率;
(5)通過對天線陣進行波束賦形使得下行信號能夠對準一個(或若干個不同位置的用戶)用戶,這等效于提高了發射機的有效發射功率(EIRP)。
CDMA系統中采用了大功率線性功放,價格比較昂貴;采用智能天線技術的TD系統可以采用多個小功率功放,從而降低了制造成本。
2 基本工作機理
根據波束成形的實現方式以及目前的應用情況,智能天線通常可分為多波束智能天線和自適應智能天線。
多波束智能天線采用準動態預多波束的波束切換方式,利用多個不同固定指向的波束覆蓋整個小區,隨著用戶在小區中的移動,基站選擇其中最合適的波束,從而增強接收信號的強度。多波束智能天線的優點是復雜度低、可靠性高,但缺點是它受天線波束寬度等參數影響較大,性能差于自適應智能天線。
自適應智能天線采用全自適應陣列自動跟蹤方式,通過不同自適應調整各個天線單元的加權值,達到形成若干自適應波束,同時跟蹤若干個用戶,從而能夠對當前的傳播環境進行最大程度上的匹配。自適應智能天線在理論上性能可以達到最優,但是其實現結構和算法復雜度均明顯高于多波束智能天線。
TD-SCDMA系統采用的是自適應智能天線陣,天線陣列單元的設計、下行波束賦形算法和上行DOA預估是智能天線的核心技術。
智能天線陣的實現原理類型于相控陣天線。下面我們以一維線陣相控陣天線為例。
首先,作為最基本的一維波束掃描相控陣天線是一個等間距排列的直線陣列(見圖1),其中陣列的每個輻射單元的激勵相位可以變化,即當相鄰輻射單元的激勵相位呈特定的等差級數變化時,陣列方向圖是通過對每一列天線單元的幅度相位激勵進行調整實現波束掃描的。

其中:d為相鄰單元的間距,λ為天線工作頻率的波長
智能(自適應)天線系統以陣列天線和自適應信號處理算法為基礎,能夠從多個多路徑信號和干擾信號中把有用信號區分出來,自動地把主瓣最大值鎖定在有用的移動來波信號方向上,并自動減小干擾方向的付瓣電平。智能天線所具有的這種精確跟蹤能力和干擾抑制能力可以使在同一個小區內的幾個用戶使用相同的信道。
智能天線系統的工作機理概念可以用圖2 和圖3 予以描述。在圖2中,N個天線輻射單元接收到信號經過射頻放大后,在基帶的數字波束成形(DBF)網絡中采用Wi的復權系數加權并進行疊加合成,然后進入接收機,其中DSP智能算法處理器根據N個天線輻射單元來波的幅度/相位關系預測出有用信號的方向。疊加合成得到最大的接收信號。在圖3中,DSP根據上述預測的有用信號方向以及預測的干擾信號方向,可以自適應產生合適的Wi復權系數,并激勵各個天線單元的輻射,從而將主瓣板對準有用信號,將零點對消。



由于智能天線測試比普通天線要復雜得多,對智能天線的測試也比較復雜。以圖4給出的智能天線陣為例,我們可以將該天線的測量分為2類:電路參數測量和輻射參數測量。
電路參數包括:各端口輸入阻抗、相鄰天線單元端口隔離度、各天線端口有源反射系數、校準口到各天線單元的幅度相位一致性。
輻射參數測試包括:各天線單元的方向圖和增益、典型業務波束的方向圖和增益;廣播波束的方向圖和增益。
由于電路參數指標為智能天線出廠必測指標,下面我們重點探討一下智能天線的電路參數測試項目和測試方法。一個8單元單極化智能天線陣的電路參數測試包括:
(1)相鄰端口的隔離度,即S12、 S23、 S34、 S45 、 … S78 的特性(不包括校準口);
(2)校準口到各天線單元的幅相一致性,即S01、 S02、… 、S07 、S08 的幅度相位特性(Mag|S01|、| Mag|S02| 、Mag|S03| 、Mag|S04|、 Mag|S05|、Mag|S06|、Mag|S07| 、Mag|S08|;Pha|S01| 、Pha|S02|、 Pha|S03|、 Pha|S04|、 Pha|S05|、 Pha|S06|、Pha|S07 |、Pha|S08|);
(3)各天線端口的無源反射系數(或無源回波損耗),即S00、S11、S22、… 、S33 、 S88 的特性;
(4)各天線端口的有源反射系數(或有源回波損耗),考慮單元之間的互耦和各單元的幅相激勵問題。
根據下面的S參數激勵矩陣模型



羅德與施瓦茨(R&S)的 ZVT 是業界唯一的8端口矢量網絡分析儀。它內置4個獨立的源,16個獨立接收通道,有著極快的測量速度,因此是針對智能天線和相控陣天線測試的最佳選擇(見圖5)。它可以一次完成一個S88全矩陣測試,這對2端口和4端口矢網是不可能實現的。


針對第3項測試(共需要9個端口),R&S ZVT只需要兩步就可完成(如圖6和圖7所示),同時結合Trace Math(軌跡計算,對多個軌跡進行任意的計算,以擴展測量功能)功能,可以實時的計算并顯示各通道幅度/相位一致性(如圖8所示)。




θ為智能天線合成波束的掃描角(此項為變量)

由圖9,圖10可知,利用ZVT的8端口和強大的Trace Math功能,可以實時的顯示任意掃描角下的各端口有源反射系數,為智能天線系統的研發和生產測試提供了極大的便利。
4 結束語
智能天線比普通天線復雜得多,對智能天線系統的性能評估也比較復雜。在研發和生產階段必須對智能天線進行全面測試,這樣才能對其性能進行全面的考核,將智能天線的優勢發揮出來。使用一般的2端口或4端口矢網很難全面、快速地測試智能天線。而R&S的 ZVT 獨具8個端口,并有強大的Trace Math功能,因此能滿足智能天線的測試需求,能幫助天線廠家對其智能天線進行快速、全面的測試。
附:相關名詞解釋
極化:是指電場在空間的運動軌跡。當電場的運動軌跡為一條直線,稱為線極化;當運動軌跡為一個圓(或橢圓)時,稱為圓(或橢圓)極化。線極化又分為垂直極化(即極化方向與地面垂直)和水平極化;圓極化又分為左旋圓極化和右旋圓極化(采用右手法則)。
天線增益:是指天線在空間某點的輻射功率相對于理想的點源(無方向性天線,實際上不存在)在該點的輻射功率之比。
有源反射系數:對一個多口天線(或微波器件)而言,其他若干個相關端口有激勵的條件下某個端口的反射系數。