基于RFID的車輛自動駕駛模擬試驗裝置研制
作者:張良力,嚴新平,張存保,吳超仲,吳青張良力,嚴新平,張存保,吳超仲,吳青
來源:RFID世界網
日期:2010-02-04 11:26:41
摘要:通過對比分析當前車輛自動駕駛研究現狀,提出以射頻識別技術(RFID)作為導航方式開展車輛自動駕駛研究;針對目前試驗手段的不足,設計了基于RFID的車輛自動駕駛模擬試驗裝置,具體包括系統總體架構、導航設備、仿真車輛、仿真道路等;利用該裝置開展了車輛直道保持和彎道轉向試驗,結果表明利用該模擬試驗裝置能快速構建試驗方案,得出的結論和數據直觀、可靠。
傳統的自動駕駛車輛主要依靠2種方式進行導航:機器視覺導航,如文獻[1—2]中的視覺導航自主車,此種導航方式與人類通過眼部感知、處理外界信息雷同,但受限于黑夜、低能見度等情形下的光照條件,地埋磁體導航,如文獻[3]中基于磁道釘導航的智能車路系統。此方式在克服諸如光照等外界干擾因素方面具有優勢,但面對復雜的交通環境時,其地面有效信息不全的弱點逐漸突顯。射頻識別技術(radio frequency identification,RFID)是利用射頻信號通過空間耦合實現信息無接觸傳輸,從而達到身份識別目的的一種新興技術。現行的RFID技術仍主要應用于身份識別領域,為此,采用遵循IS014443標準的RFID硬件模塊,并選用與之匹配的道路仿真模型和車輛模型建立比例微縮模擬試驗裝置,為方便研究試驗工作在此裝置上展開。
1 RFID 導航原理及工作流程
利用地面信息發射裝置導航的車輛自動駕駛系統工作示意如圖1所示。
2.1 導航設備與仿真車輛
試驗裝置的設計中,作為導航設備的RFID硬件模塊將嵌入在實時仿真循環中,該硬件模塊采用Philips RF RC500作為讀寫器芯片,遵循ISO14443標準中定義的Type A通信協議,即發送載波信號時采用改進的Miller編碼方式,調制深度為100 的幅度鍵控(ASK)信號。天線采用印刷電路板內置線圈,尺寸為55 mm×40 mm,RFID標簽選用無源式圓形智能卡,內含IC芯片和LC諧振回路,直徑為18 mm 所示.讀寫器與標簽通信速率為106 kB,載波頻率為13.56MHz,感應距離約為50 mm,符合微縮條件下信號傳輸的可靠性要求。
車輛實體為電動車輛模型,微縮比例1:10,其縱向控制采用后置動力四輪驅動,驅動電機為7.2 V直流微型電機,橫向控制選用6 V舵機控制仿真車輛轉向傳動系。系統上、下位機均安裝在仿真車輛中,下位機中央處理單元為AT89S5x單片機,主要職責為:(1)控制RFID硬件模塊定時向地面發送以及接收RFID無源標簽反射回來的載波信號;(2)將讀寫器芯片處理過的標簽信息上傳至上位機,以及接收上位機下傳的仿真車輛控制指令;(3)根據上位機下傳控制指令控制車輛模型。上位機主體為工業控制機主板,可配置CPU、內存及硬盤等,實測試驗時可將顯示器、鼠標及鍵盤等外部設備移除.上位機主要負責將接收到的各種信息進行運算決策,然后下發控制指令控制車輛模型運行,上下位機通過RS232串口協議通信,可充式鋰電池為仿真車輛整體供電。
2.2 仿真道路
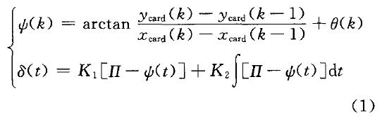
供車輛行駛的道路是一系列平直線、圓曲線和緩和曲線的組合,在微縮條件下,仿真道路的設計忽略道路起伏和坡度等因素,利用若干RFID無源標簽在試驗場地內進行有序排列可形成道路。某段仿真道路示意圖如圖3所示,不同道路線形采用不同的方式進行標簽圈圍。對于平直道路上的車輛,其轉向機構保持零偏轉,車輛保持直線行駛,RFID無源標簽沿平直道路兩側邊緣依次埋設;當車體與道路邊緣斜交時,位于車輛前方的RFID硬件模塊天線感應并接收RFID無源標簽發出的位置信息
,結合上次“碰邊”位置
(如未曾“碰邊”,P‘card則為道路入口標簽位置信息),得出車體方位角
,仿真車輛再根據
,以及在進入道路時讀取到的標簽信息時得到的該道路出口位置信息,得出仿真車輛從即刻起至t時刻的前輪轉角
( t).在平直道路上發生“碰邊”時,仿真車輛車體方位角
及前輪轉角
計算公式為
為車輛方位角修訂值;K為感應順序;Ⅱ為平直道路方向角,與車輛所在平直道路相關并在進入時獲取;t在車輛感應到RFID無源標簽后開始計時;K1,K 2為車輛方位角與平直道路方向角誤差調節系數,在實驗測試過程中調節。另外,設定RFID無源標簽在平直道路橫向距離w 小于車輛兩前輪之間距離;縱向間距D根據道路限速在實測中調整。
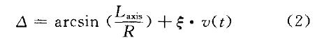
式中:
為仿真車輛前后輪傳動軸長;
為基于車速的調節系數,用以補償車輛因速度變化引起的誤差。
2.3 系統軟件設計
仿真車輛的下位機采用帶有單片機系統的RFID硬件模塊,本身帶有RS232串口通信接口方便與上位機通信,執行機構中的驅動電機由電機驅動控制芯片L298管理,正反轉動及使能信號采用TTL電平驅動;舵機控制端亦可直接由TTL電平驅動。下位機系統軟件主要實現RFID標簽信息傳遞以及車輛控制信息解析與執行,上位機系統軟件采用模塊化設計面向對象的程序設計方法進行構建,其系統軟件結構如圖4所示。
3 場地試驗
3.1 直道保持試驗
在室內平整地面上,將RFID無源標簽按橫向距離w 為0.22 m、縱向間距D為0.1 m進行鋪設,形成平直道路,進出口處擺放標簽個數橫向均勻緊密鋪設,試驗采用間隔為0.055 m埋設一個,仿真車輛在不同車速V條件下在平直道路上行駛,在“碰邊”后修正前輪轉角偏轉值
以保持車輛位于平直道路中間區域,仿真車輛前輪轉角偏轉值
與時間t之間的對應關系如圖5所示。
3.2 彎道轉向試驗
彎道轉向試驗基于前述直道保持試驗,彎道半徑R設置為0.4 m,為保障車輛順利完成轉彎動作,可在車輛可能經過的途中埋設無源芯片通知其校正并更新自身前輪轉角。記錄仿真車輛在轉彎過程中的前輪轉角偏轉值△與時間t之間對應關系如圖6所示,仿真車輛在直道上保持并平穩行駛至出口處,此時車載RFID讀寫器天線感應到標簽為出口標識,即可根據式(2)將前輪轉角轉至與彎道R相應的△值通過彎道.在前輪轉角保持為△值的過程中,車載RFID讀寫器天線感應到平直道路人口標簽信息即認為進入下一平直道路并將其前輪轉角復位,保持直道行駛狀態。
利用模擬試驗裝置在室內場地開展基于RFID的車輛自動駕駛系統試驗,不僅能快速構建試驗方案,減少成本,而且能保障人員安全,其試驗數據和結果的直觀性或可信度也高于一般意義上的數字仿真。值得注意的是,僅依靠模擬試驗裝置測試得出的原型系統不能直接移植至實車自動駕駛系統中的,該模擬試驗裝置主要用于車輛自動駕駛控制及其車路交互信息等模型的建立與測試,由此可推知,提高模擬試驗裝置內仿真車輛的控制精度,RFID作為導航手段的可靠度,道路標簽埋設的合理性,以及制定車輛自動駕駛試驗方案標準流程和規范等,是提高整個模擬試驗裝置效益的有力舉措,以上工作將在后續研究中展開。
1 RFID 導航原理及工作流程
利用地面信息發射裝置導航的車輛自動駕駛系統工作示意如圖1所示。


2.1 導航設備與仿真車輛
試驗裝置的設計中,作為導航設備的RFID硬件模塊將嵌入在實時仿真循環中,該硬件模塊采用Philips RF RC500作為讀寫器芯片,遵循ISO14443標準中定義的Type A通信協議,即發送載波信號時采用改進的Miller編碼方式,調制深度為100 的幅度鍵控(ASK)信號。天線采用印刷電路板內置線圈,尺寸為55 mm×40 mm,RFID標簽選用無源式圓形智能卡,內含IC芯片和LC諧振回路,直徑為18 mm 所示.讀寫器與標簽通信速率為106 kB,載波頻率為13.56MHz,感應距離約為50 mm,符合微縮條件下信號傳輸的可靠性要求。
車輛實體為電動車輛模型,微縮比例1:10,其縱向控制采用后置動力四輪驅動,驅動電機為7.2 V直流微型電機,橫向控制選用6 V舵機控制仿真車輛轉向傳動系。系統上、下位機均安裝在仿真車輛中,下位機中央處理單元為AT89S5x單片機,主要職責為:(1)控制RFID硬件模塊定時向地面發送以及接收RFID無源標簽反射回來的載波信號;(2)將讀寫器芯片處理過的標簽信息上傳至上位機,以及接收上位機下傳的仿真車輛控制指令;(3)根據上位機下傳控制指令控制車輛模型。上位機主體為工業控制機主板,可配置CPU、內存及硬盤等,實測試驗時可將顯示器、鼠標及鍵盤等外部設備移除.上位機主要負責將接收到的各種信息進行運算決策,然后下發控制指令控制車輛模型運行,上下位機通過RS232串口協議通信,可充式鋰電池為仿真車輛整體供電。
2.2 仿真道路
供車輛行駛的道路是一系列平直線、圓曲線和緩和曲線的組合,在微縮條件下,仿真道路的設計忽略道路起伏和坡度等因素,利用若干RFID無源標簽在試驗場地內進行有序排列可形成道路。某段仿真道路示意圖如圖3所示,不同道路線形采用不同的方式進行標簽圈圍。對于平直道路上的車輛,其轉向機構保持零偏轉,車輛保持直線行駛,RFID無源標簽沿平直道路兩側邊緣依次埋設;當車體與道路邊緣斜交時,位于車輛前方的RFID硬件模塊天線感應并接收RFID無源標簽發出的位置信息
,結合上次“碰邊”位置
(如未曾“碰邊”,P‘card則為道路入口標簽位置信息),得出車體方位角
,仿真車輛再根據
,以及在進入道路時讀取到的標簽信息時得到的該道路出口位置信息,得出仿真車輛從即刻起至t時刻的前輪轉角
( t).在平直道路上發生“碰邊”時,仿真車輛車體方位角
及前輪轉角
計算公式為 
為車輛方位角修訂值;K為感應順序;Ⅱ為平直道路方向角,與車輛所在平直道路相關并在進入時獲取;t在車輛感應到RFID無源標簽后開始計時;K1,K 2為車輛方位角與平直道路方向角誤差調節系數,在實驗測試過程中調節。另外,設定RFID無源標簽在平直道路橫向距離w 小于車輛兩前輪之間距離;縱向間距D根據道路限速在實測中調整。 

式中:
為仿真車輛前后輪傳動軸長;
為基于車速的調節系數,用以補償車輛因速度變化引起的誤差。 2.3 系統軟件設計
仿真車輛的下位機采用帶有單片機系統的RFID硬件模塊,本身帶有RS232串口通信接口方便與上位機通信,執行機構中的驅動電機由電機驅動控制芯片L298管理,正反轉動及使能信號采用TTL電平驅動;舵機控制端亦可直接由TTL電平驅動。下位機系統軟件主要實現RFID標簽信息傳遞以及車輛控制信息解析與執行,上位機系統軟件采用模塊化設計面向對象的程序設計方法進行構建,其系統軟件結構如圖4所示。

3 場地試驗
3.1 直道保持試驗
在室內平整地面上,將RFID無源標簽按橫向距離w 為0.22 m、縱向間距D為0.1 m進行鋪設,形成平直道路,進出口處擺放標簽個數橫向均勻緊密鋪設,試驗采用間隔為0.055 m埋設一個,仿真車輛在不同車速V條件下在平直道路上行駛,在“碰邊”后修正前輪轉角偏轉值
以保持車輛位于平直道路中間區域,仿真車輛前輪轉角偏轉值
與時間t之間的對應關系如圖5所示。 
3.2 彎道轉向試驗
彎道轉向試驗基于前述直道保持試驗,彎道半徑R設置為0.4 m,為保障車輛順利完成轉彎動作,可在車輛可能經過的途中埋設無源芯片通知其校正并更新自身前輪轉角。記錄仿真車輛在轉彎過程中的前輪轉角偏轉值△與時間t之間對應關系如圖6所示,仿真車輛在直道上保持并平穩行駛至出口處,此時車載RFID讀寫器天線感應到標簽為出口標識,即可根據式(2)將前輪轉角轉至與彎道R相應的△值通過彎道.在前輪轉角保持為△值的過程中,車載RFID讀寫器天線感應到平直道路人口標簽信息即認為進入下一平直道路并將其前輪轉角復位,保持直道行駛狀態。

利用模擬試驗裝置在室內場地開展基于RFID的車輛自動駕駛系統試驗,不僅能快速構建試驗方案,減少成本,而且能保障人員安全,其試驗數據和結果的直觀性或可信度也高于一般意義上的數字仿真。值得注意的是,僅依靠模擬試驗裝置測試得出的原型系統不能直接移植至實車自動駕駛系統中的,該模擬試驗裝置主要用于車輛自動駕駛控制及其車路交互信息等模型的建立與測試,由此可推知,提高模擬試驗裝置內仿真車輛的控制精度,RFID作為導航手段的可靠度,道路標簽埋設的合理性,以及制定車輛自動駕駛試驗方案標準流程和規范等,是提高整個模擬試驗裝置效益的有力舉措,以上工作將在后續研究中展開。