一種用于 RFID 系統的雙頻微帶天線的設計
作者:趙萬年 武岳山 劉奕昌
來源:現代電子技術
日期:2009-09-11 08:40:50
摘要:針對射頻識別系統UHF頻段的中國標準840~845 MHz和920~925 MHz,提出一種基于E形天線和共面倒F形天線相結合的設計方案,設計了一款新穎的雙頻微帶天線。通過調整短路針的位置,E形槽的寬度和相對位置實現諧振。仿真和調試表明,該天線諧振在850 MHz和920 MHz下,帶寬(VSWR<2)可以覆蓋以上兩個頻段。該天線兼備E形天線的多諧振特性和倒F型天線的低后瓣特性。此外,天線結構簡單、成本低廉,便于調諧。
0 引 言
射頻識別(Radio Frequency Indentification)是一種通過無線射頻方式進行非接觸的雙向數據通信,對目標加以識別并獲取相關數據的自動識別技術。現在RFID已經滲透到人們日常生活的各個領域,成為一種常見的技術,其應用包括物流、資產管理、人員門禁等。RFID系統的基本組成包括讀寫器和電子標簽兩部分。讀寫器天線和電子標簽天線是實現讀寫器與電子標簽通信的空間物理接口。工作頻率是RFID系統最重要的性能參數,中國公布的UHF頻段中RFID頻率范圍為 840~845 MHz和920~925 MHz兩個頻段。
微帶天線以其剖面薄、體積小、成本低等優點而被廣泛應用于無線通信系統。為滿足讀寫器天線工作于840~845 MHz和920~925 MHz兩個頻段的要求,如果直接采用微帶天線設計,則存在著天線的頻帶比較窄,不能滿足兩個頻段要求的缺點。一種新的設計思路是設計一款雙頻帶微帶天線,使其兩個頻帶分別覆蓋840~845 MHz和920~925 MHz兩個頻段。這樣做的好處是既滿足了雙頻段的要求,又在一定程度上過濾了兩頻段間的干擾和噪聲進入讀寫器的接收系統。
這里采用多諧振的方法,通過微帶天線的結構設計,實現了雙頻段的覆蓋。在這種思路下,采用E形天線與倒F天線(IFA)相結合的設計,實現了一種低后瓣雙頻微帶天線。天線諧振在850 MHz和920 MHz處,VSWR=1.09,帶寬(VSWR<2)滿足頻段覆蓋的要求。該天線制作在2 mm厚的FR4基板上,不僅具有小的尺寸,而且便于調協,易于制作。
1 倒F形線和E形天線
1.1 倒F形天線簡介
典型的倒F天線(IFA)是由一個放在地面上的矩形平面單元,一個與地平行的短路面或者短路針和一個饋電單元構成的,如圖1所示。IFA本質上是一個偶極子的變形,通過將偶極子的上面部分向下彎折到與地面平行,這樣可以減小天線的高度,但是與地面平行的部分卻對天線引入了容抗。因此,在天線結構中引入感性的短路面或者短路針來補償這部分容性是必要的。IFA天線的地面具有重要作用,因為當IFA貼片具有電流時,將引起地面電流的激勵,最終的場是由IFA貼片電流和它在地面的鏡像電流共同形成的。這就是IFA天線的工作原理。
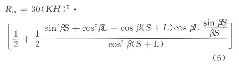
由長為L的終端開路線和長為S的終端短路線并聯而成的共面倒F形天線(PIFA),其結構如圖2所示。傳輸線的線寬d《H時,傳輸線的阻抗Z0可以表示為:
式(1)中:ξ=120π為空氣中波阻抗。根據傳輸線理論,輸入阻抗為:
式(2)中:β為傳播常數。根據式(2)可以分別計算對于長為L的終端開路線和長為S的終端短路線的電抗,分別為:
從式(7)可以看到,天線的輸入阻抗為純電阻,且僅僅與天線的高度H有關。從以上的推導可以看到,對于IPFA的調節,可以通過調整長度L來調節天線的輸入阻抗,使之呈純電阻;之后可以通過調節天線的高度H來改變天線的輸入阻抗,使之與50 Ω同軸線的饋線相匹配。
1.2 E形天線
E形天線是在普通微帶貼片單元的基礎上開了二個平行槽而形成的。槽的位置以饋電點對稱。通過調整槽的位置、長度和寬度,可以有效地提高微帶天線的帶寬。根據文獻[8],普通的微帶貼片天線可以等效為一個簡單的LC諧振回路,L和C的值由電流在導體表面流經的長度決定,而E形微帶天線由于開槽而使天線從一個單諧振的LC回路變成雙諧振LC回路。這兩個諧振回路耦合在一起,即可實現頻帶的展寬。
2 天線設計與仿真
根據以上原理,這里將E形天線與IFA天線相結合實現了雙頻微帶天線,如圖3所示。根據文獻[9,10],有:
式中:W為天線的寬度;c為光速;f為工作頻率;εr為介質相對介電常數。
天線的長度一般參照λg/2取值,λg為介質中的波長,有:

諧振單元的長度為:

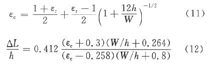
式(10)中,有效介電常數和△L可以根據以下公式計算:
式中:εe為有效介電常數;h為介質基板厚度。
根據式(8)~(12)可以估算出天線的尺寸W和L。然后,在基于FDTD的.Ansoft HFSS 10.0上建模,仿真優化,得到圖3所示的天線模型。仿真結果如圖4所示。天線的結構參數如表1所示。
從圖3可以看到,該微帶天線是由E形天線與共面IFA共同構成的,天線印刷在厚度為2 mm,相對介電常數為4.6的FR4基板上,天線引入了感性短路針來抵消容性。在調試中發現天線的性能對以下參數特別敏感:槽的寬度對第二諧振點影響比較大,其影響主要體現在諧振深度上,而不產生頻偏;短路針的位置對第一諧振點影響比較大,其影響主要體現在諧振深度上,而不產生頻偏;槽之間的距離越近,諧振頻率越大,而對諧振深度的影響卻甚微。
從圖4(a)可以看到,天線諧振在850 MHz,920 MHz。諧振點處VSWR=1.09,帶寬(VSWR<2)840~860 MHz和910~930 MHz,完全滿足UHF中國頻段的要求。從圖4(b)~(e)的方向圖可以看到,無論是在850 MHz還是在920 MHz,天線的后瓣均比較小,從而實現了該天線高的前后抑制比。
3 結 語
在此針對UHF頻段RFID讀寫器天線兼容840~845 MHz和920~925 MHz雙頻段的要求設計了一款新穎的雙頻微帶天線。仿真和測試結果表明,這種天線諧振在850 MHz和920 MHz兩個頻點,兩個諧振點處帶寬(VSWR<2)滿足覆蓋840~845 MHz和920~925 MHz雙頻段的要求,且具有較低的后瓣。
射頻識別(Radio Frequency Indentification)是一種通過無線射頻方式進行非接觸的雙向數據通信,對目標加以識別并獲取相關數據的自動識別技術。現在RFID已經滲透到人們日常生活的各個領域,成為一種常見的技術,其應用包括物流、資產管理、人員門禁等。RFID系統的基本組成包括讀寫器和電子標簽兩部分。讀寫器天線和電子標簽天線是實現讀寫器與電子標簽通信的空間物理接口。工作頻率是RFID系統最重要的性能參數,中國公布的UHF頻段中RFID頻率范圍為 840~845 MHz和920~925 MHz兩個頻段。
微帶天線以其剖面薄、體積小、成本低等優點而被廣泛應用于無線通信系統。為滿足讀寫器天線工作于840~845 MHz和920~925 MHz兩個頻段的要求,如果直接采用微帶天線設計,則存在著天線的頻帶比較窄,不能滿足兩個頻段要求的缺點。一種新的設計思路是設計一款雙頻帶微帶天線,使其兩個頻帶分別覆蓋840~845 MHz和920~925 MHz兩個頻段。這樣做的好處是既滿足了雙頻段的要求,又在一定程度上過濾了兩頻段間的干擾和噪聲進入讀寫器的接收系統。
這里采用多諧振的方法,通過微帶天線的結構設計,實現了雙頻段的覆蓋。在這種思路下,采用E形天線與倒F天線(IFA)相結合的設計,實現了一種低后瓣雙頻微帶天線。天線諧振在850 MHz和920 MHz處,VSWR=1.09,帶寬(VSWR<2)滿足頻段覆蓋的要求。該天線制作在2 mm厚的FR4基板上,不僅具有小的尺寸,而且便于調協,易于制作。
1 倒F形線和E形天線
1.1 倒F形天線簡介
典型的倒F天線(IFA)是由一個放在地面上的矩形平面單元,一個與地平行的短路面或者短路針和一個饋電單元構成的,如圖1所示。IFA本質上是一個偶極子的變形,通過將偶極子的上面部分向下彎折到與地面平行,這樣可以減小天線的高度,但是與地面平行的部分卻對天線引入了容抗。因此,在天線結構中引入感性的短路面或者短路針來補償這部分容性是必要的。IFA天線的地面具有重要作用,因為當IFA貼片具有電流時,將引起地面電流的激勵,最終的場是由IFA貼片電流和它在地面的鏡像電流共同形成的。這就是IFA天線的工作原理。

由長為L的終端開路線和長為S的終端短路線并聯而成的共面倒F形天線(PIFA),其結構如圖2所示。傳輸線的線寬d《H時,傳輸線的阻抗Z0可以表示為:

式(1)中:ξ=120π為空氣中波阻抗。根據傳輸線理論,輸入阻抗為:

式(2)中:β為傳播常數。根據式(2)可以分別計算對于長為L的終端開路線和長為S的終端短路線的電抗,分別為:



從式(7)可以看到,天線的輸入阻抗為純電阻,且僅僅與天線的高度H有關。從以上的推導可以看到,對于IPFA的調節,可以通過調整長度L來調節天線的輸入阻抗,使之呈純電阻;之后可以通過調節天線的高度H來改變天線的輸入阻抗,使之與50 Ω同軸線的饋線相匹配。
1.2 E形天線
E形天線是在普通微帶貼片單元的基礎上開了二個平行槽而形成的。槽的位置以饋電點對稱。通過調整槽的位置、長度和寬度,可以有效地提高微帶天線的帶寬。根據文獻[8],普通的微帶貼片天線可以等效為一個簡單的LC諧振回路,L和C的值由電流在導體表面流經的長度決定,而E形微帶天線由于開槽而使天線從一個單諧振的LC回路變成雙諧振LC回路。這兩個諧振回路耦合在一起,即可實現頻帶的展寬。
2 天線設計與仿真
根據以上原理,這里將E形天線與IFA天線相結合實現了雙頻微帶天線,如圖3所示。根據文獻[9,10],有:

式中:W為天線的寬度;c為光速;f為工作頻率;εr為介質相對介電常數。

天線的長度一般參照λg/2取值,λg為介質中的波長,有:

諧振單元的長度為:

式(10)中,有效介電常數和△L可以根據以下公式計算:

式中:εe為有效介電常數;h為介質基板厚度。
根據式(8)~(12)可以估算出天線的尺寸W和L。然后,在基于FDTD的.Ansoft HFSS 10.0上建模,仿真優化,得到圖3所示的天線模型。仿真結果如圖4所示。天線的結構參數如表1所示。

從圖3可以看到,該微帶天線是由E形天線與共面IFA共同構成的,天線印刷在厚度為2 mm,相對介電常數為4.6的FR4基板上,天線引入了感性短路針來抵消容性。在調試中發現天線的性能對以下參數特別敏感:槽的寬度對第二諧振點影響比較大,其影響主要體現在諧振深度上,而不產生頻偏;短路針的位置對第一諧振點影響比較大,其影響主要體現在諧振深度上,而不產生頻偏;槽之間的距離越近,諧振頻率越大,而對諧振深度的影響卻甚微。
從圖4(a)可以看到,天線諧振在850 MHz,920 MHz。諧振點處VSWR=1.09,帶寬(VSWR<2)840~860 MHz和910~930 MHz,完全滿足UHF中國頻段的要求。從圖4(b)~(e)的方向圖可以看到,無論是在850 MHz還是在920 MHz,天線的后瓣均比較小,從而實現了該天線高的前后抑制比。
3 結 語
在此針對UHF頻段RFID讀寫器天線兼容840~845 MHz和920~925 MHz雙頻段的要求設計了一款新穎的雙頻微帶天線。仿真和測試結果表明,這種天線諧振在850 MHz和920 MHz兩個頻點,兩個諧振點處帶寬(VSWR<2)滿足覆蓋840~845 MHz和920~925 MHz雙頻段的要求,且具有較低的后瓣。