本振相位噪聲對RFID詢問范圍的影響分析(二)
本文上一部分介紹了UHF RFID鏈路概念與典型的無線通信系統。
如果RFID系統只是發射UHF連續波信號,那么PN,pn電平將隨時延發生很大的變化。在最壞的情況下,即ωΔt采用等式7中的[(2n - 1)π/2值,其中n是正整數,Tx泄漏信號的最大相位噪聲可以近似表示為:

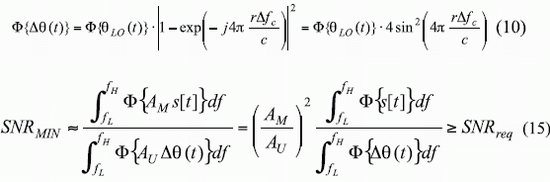
如果發射和接收使用相同的本振,那么接收信號的相位噪聲就與本振相關,其關聯程度取決于兩個信號之間的時間差。如果時間差很短,那么相應效應將極大地縮簡基帶的相位噪聲譜。在諸如RFID等雷達應用中,這種相位噪聲減弱效應被稱為范圍關聯12。根據參考文獻12,偏移頻率Δfc、來回時延Δt時的基帶功率譜密度可以通過查閱第88頁上的等式10得到。

圖4所示例子就是本地振蕩器本身的典型功率譜密度以及由于與來回延時1m關聯的范圍引起的相位噪聲抑制效應。本振的典型功率譜密度是考慮了先進的UHF RFID本振性能后選擇的。針對不同偏移頻率的范圍與相位噪聲關聯效應可以用等式10進行估計。例如,當偏移頻率為10Hz時,相位噪聲可降低130dB。相位噪聲的下降正比于來回時延r的平方以及偏移頻率Δfc的平方。由于Tx泄漏信號和本振信號之間的來回時延很短(小于1m),因此相位噪聲效應可以被顯著降低。
由于范圍關聯導致的相位噪聲下降還取決于濾波器帶寬。在160kb/s數據速率條件下測得的相位噪聲減少值如參考文獻6中所示。測得的值是41dB,幾乎與本文報告的結果相同。如圖5所示,Tx泄漏信號的相位噪聲電平要高于熱噪聲,以至于RIR主要取決于Tx/Rx隔離度,并證實了作者的假設-Tx泄漏信號的相位噪聲是決定RIR的主導因素。對于閉環鎖相環(PLL)來說,相位噪聲的功率譜密度將經過PLL傳輸函數的過濾,因此相位噪聲效應會變得小許多。這樣,針對開環壓控振蕩器(VCO)的結果就代表了最壞情況。

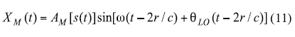
RIR等式可以從等式9推導得到。ASK情況下的后向散射信號XM(t)可以被表示為:

其中
AM = 后向散射信號的幅度,
s(t) = RFID標簽的二進制數據序列0和1,
2r/c = RFID閱讀機和RFID標簽之間的來回時延。再次利用Friis電磁波傳播公式可以得到AM:

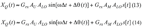
在使用正交接收器時,接收信號(等式6)和(等式11)及本振信號(等式5)將被混頻處理,輸出經過低通濾波,最終形成的基帶信號分別為:

一般來說Tx泄漏幅度AU要大于后向散射信號電平AM,并且可以忽略接收信號對相位噪聲的影響。這樣,最小可實現的信噪比可近似表示為等式15,該等式給出了RFID閱讀機信噪比值的下限。在采用ASK時,將等式12代進等式15就可以得到RIR為:

與FIR不同的是,RIR取決于多種參數,如閱讀機天線增益、環形器性能及本振相位噪聲。圖6表明RIR是Tx/Rx隔離度的一個函數。不良的環形器隔離性能不僅會降低RFID閱讀機的靈敏度,而且會使接收器前端電路飽和。因此不良隔離性能被認為是RIR縮短的主要原因。換句話說,推薦使用大的隔離系數來增大RIR。提高隔離度的簡易方法是Tx和Rx分別采用獨立的天線。然而,這樣做會使RFID閱讀機的體積和成本增加。鐵氧體材料的環形器或有源CMOS環形器也可以減輕這個問題,但閱讀機成本的增加和環形器不良隔離性能是主要的障礙。

圖6也顯示了閱讀機天線增益對詢問距離的依賴性。在相同的EIRP下,RIR計算中使用了13dBi和4dBi的不同天線增益值。在天線增益為13dBi的情況下的RFID閱讀機發射功率要低于4dBi增益時的功率。因為增加發射機功率也會導致Tx泄漏功率增加,因此在增加RIR方面13dBi的天線增益案例要比4dBi天線增益案例更加有效。作者認為這些結果有助于確定Tx/Rx隔離度和VCO相位噪聲等UHF RFID閱讀機規范。
在部署UHF RFID系統時,RFID閱讀機的詢問范圍是一個關鍵設計參數。為了保持RFID系統的良好性能和穩定操作,首先應深入理解FIR和RIR,本文提供的詢問范圍等式應有所幫助。在本文中,它們的有效性通過FIR和RIR的數字結果顯示了出來。作者還專門分析了決定RIR性能的Tx泄漏功率和本振相位噪聲之間的關系。結果表明,RFID閱讀機的發射功率是決定FIR的主要因素,而閱讀機天線增益、本振相位噪聲和Tx/Rx隔離度是決定RIR的主要因素。這些結論可以成為RFID系統設計和部署的有用參考。
見等式10和15。

作者:Dr. Byung-Jun Jang
Dr. Hyun-Goo Yoon