一種RFID電子卡穩定性設計及實現
作者:張明和,易靈芝,王根平
來源:RFID世界網
日期:2009-04-13 14:25:08
摘要:穩定性問題一直制約著RFID電子卡的應用與發展,針對此種問題,介紹了一種應用在汽車安全管理及其自動收費系統等場合的RFID電子卡;重點對這種RFID電子卡的穩定性進行了研究,分析討論了其載波幅度調制電路出現載波頻率點漂移、偏移及雜波產生的各種原因,提出對載波幅度調制電路改進設計作為解決的方法,微帶線受外界因素影響小的優點在這種方法中得到充分體現;實驗結果證明,該方法提了RFID電子卡的工作穩定性,增強其抗干擾能力。
0 引言
射頻識別(Radio Frequency Identification,RFID)技術是一種非接觸式自動識別技術,其原理是利用射頻信號和空間耦合傳輸特性,實現對被識別物體的自動識別。RFID技術有別于傳統意義的自動識別技術,它在使用過程中已逐漸顯示其優越性,正成為IT業主要發展趨勢之一。RFID技術應用領域廣闊,在國內外的汽車安全管理及自動收費系統領域中,RF1D技術應用比較成功。目前,汽車的使用越來越普遍,汽車數量也正在呈幾何級數增長。對于汽車的管理問題,已成為擺在人們面前的一個刻不容緩的急迫問題。如何對汽車進行管理,如何提高管理的效率,這一系列問題顯得越來越突出。RF1D 電子卡被應用于汽車的身份識別及其自動收費管理系統中,有助于一系列車輛管理問題的解決。
RFID電子卡載波幅度調制電路采用常用的三點式LC諧振電路,隨著載波頻率點的提高,LC諧振電路工作時,參數的不匹配會導致RFID電子卡產生載波頻率點漂移、偏移以及其它頻率波的產生,在某些特定的環境中,這種載波頻率點漂移、偏移以及雜波的產生甚至會導致RFID電子卡不能有效的工作。通過分析這些存在穩定性問題的RFID電子卡,得出導致RFID電子卡工作不穩定的各種因素,從而有利于對存在問題的RFID電子卡參數進行修改、調整及其穩定性設計提供依據。
最后,給出了部分改進后的RFID電子卡印刷板電路。
實驗結果表明,改進后的RFID電子卡,其穩定性進一步增強,基本上可以滿足在各種場合下對汽車管理提出的穩定性要求。
1 RFID電子卡的工作原理及實現
1.1 RFID電子卡的工作原理
在采用RFID電子卡參于管理的停車場管理系統中,在停車場的出入口都配有RFID 電子卡閱讀器。閱讀器會實時不間斷地發送喚醒RFID 電子卡的特定信號,汽車在經過停車場出人口時,汽車攜帶的RFID電子卡就會被這種特定信號喚醒,標識汽車ID身份的RFID電子卡就會進入工作狀態,把標識自己唯一的ID號通過無線信號發送出去,停車場出人口閱讀器接收到RFID電子卡發出的ID號后,系統會對RFID電子卡的合法性進行判斷,如果合法,就允許配有該RFID電子卡的車輛正常出入,否則將進行攔截,從而實現對進出停車場車輛的有效管理。RFID電子卡與閱讀器之間的通信工作原理圖如圖1所示。
該RFID 電子卡的硬件實現框圖如圖1所示,RFID電子卡由喚醒信號接收電路、收發信號處理電路、載波幅度調制電路、無線數據發射電路和天線五部分組成。其中載波幅度調制電路是影響RFID電子卡的穩定性的主要因素,下面詳細分析載波幅度調制電路。
1.2.1 RFID電子卡載波幅度調制電路
RFID電子卡的載波幅度調制電路是通過三點式LC振蕩電路和數據信號的加載電路兩部分組成。載波幅度調制電路如圖2所示。
(1)式中,C為C 的電容量,L為L 的電感量, 為高頻管的集電極與發射極之間的結電容,廠為振蕩電路的振蕩頻率。
2 載波頻率點漂移、偏移和雜波產生的分析
2.1 RFID電子卡載波頻率點漂移和偏移
采用頻譜儀進行分析,RFID 電子卡工作穩定時, 中心頻率點為單一、固定的頻率433.9MHz,如圖4所示。
2.2 RFID電子卡載波頻率點漂移和偏移的原因
(1)在RFID電子卡的印刷電路板上,螺旋繞制電感容易發生形變,形變的結果會使螺旋繞制電感的參數發生變化。電感L2的電感量變為L ,RFID 電子卡的載波頻率點由公式(2)決定。
(4)電池在電池槽中的位置歪斜,可能出現電路時斷時通,電源的不穩定會引起頻率點漂移。
(5)在高頻電路中, 電感的感抗隨溫度變化,不同材料的螺旋繞制電感,其電感感抗隨溫度的變化也不同,引起的振蕩頻率依據公式(2)。
2.3 RFID電子卡載波頻率點偏移及雜波的出現
2.3.1 電子卡存在雜波和頻率點偏移
實驗中發現,RFID電子卡通訊出現時有時無,距離越來越短,電池電量相對消耗快。RFID 電子卡除了產生有用的載波頻率之外,同時還伴隨其它頻率波的產生,實際頻譜類似如圖6所示。
實驗中還發現不能通訊的RFID電子卡,存在載波頻率點發生偏移的同時,還伴隨有其它頻率波的產生,這些雜波出現的現象跟如圖6所示的雜波類似。
2.3.2 電子卡頻率點偏移并伴隨雜波產生的原因
(1)RFID電子卡載頻波中夾雜有其它頻率波, 主要是LC振蕩電路中的螺旋繞制電感L2形狀嚴重發生形變,導致其螺旋電感參數發生變化,比如實際中常存在螺旋繞制電感線圈的長度拉長,螺旋繞制電感線圈的間距不等,存在寄生電容、電感。一個環路滿足公式(6),并且在環路中包含有寄生電容、電感組成的LC諧振電路,就會產生振蕩,就會有其它頻率波的產生,這就是寄生振蕩的緣故。
︱AF ︱≥ 1 (6)
其中公式(6)的A表示振蕩環路的放大系數,F表示振蕩環路的反饋系數。
(2)對于焊接后焊盤上的聚集焊錫形狀應為圓錐型,多余的引線剪切位置如有尖銳毛刺,在RFID電子卡電路中,這些毛刺存在分布電容、電感,如果滿足隨機寄生振蕩的條件,也會導致其它頻率波的產生。由于這種原因存在RFID電子卡工作時隨機出現不同頻率的雜波。
(3)載波頻率點偏移的同時伴隨有其它頻率波的產生,其實是由引發載波頻率點偏移的因素和引發寄生振蕩因素共同作用的結果。
3 載波幅度調制電路的改進設計
3.1 載波幅度調制電路改進的原理
RFID電子卡出現的不穩定,如載波頻率點漂移、偏移以及其它頻率波的產生,RFID電子卡敏感器件容易受實際工作環境因素的影響,這些都會使RFID電子卡不能充分發揮其功能。載波幅度調制電路的改進如圖7所示。
RFID電子卡上的螺旋繞制電感易受到諸多因素影響,又由于微帶線受影響的因素小,采用在印刷電路板上制作微帶線來代替螺旋繞制電感,下面是RFID電子卡微帶線具體設計。微帶線電感的長度選擇: 當
時,z為感性,當L
時,Z為容性,且Z與頻率呈非線形關系,其中k 為微帶線上的波長。RFID電子卡的載波頻率為433.9 MHz,微帶線電感的長度
,實際選擇的長度為L=85.26 mm 。
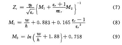
微帶線的特性阻抗z0的計算公式為:
為自由空間的波阻抗,
為空氣介電常數,w為微帶線的寬度,h為微帶線離地的高度,
為印刷電路板的介電常數,t為微帶線實際的厚度,如圖9中實際微帶線的結構。
式中,ZC 為微帶線的特性阻抗;
為微帶線的電導,L為微帶線的長度。
與頻率相關的電感感抗公式:
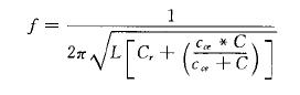
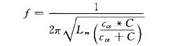
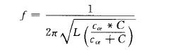
Z=jwL 由公式(10)和(11)可得出電感量L,然后帶入公式(1),得出振蕩電路選擇電容的電容量。從而實現阻抗的匹配。
4 RFID電子卡主要指標的提升
(1)傳輸距離:通過實際對比改進前后測量RFID 電子卡的傳輸距離,RFID電子卡傳輸的有效距離由原來的8~9m提高到13~15m。
(2)使用壽命:改進后的電路功耗明顯降低,使用相同電量的電池,改進后的RFID電子卡使用壽命延長1年。
(3)穩定性:改進后的RFID電子卡消除了載波頻率點漂移、偏移及雜波的出現。
(4)成本降低:改進后的RFID電子卡上不再使用螺旋繞制電感, 電路簡單,性價比好。
5 實驗與總結
通過分析RFID 電子卡不穩定的各種因素,重新設計RFID電子卡載波幅度調制電路,消除了RFID 電子卡載波頻率點偏移、漂移以及其它頻率波的產生,RFID 電子卡的穩定性效果明顯增強,這對目前RFID電子卡穩定性問題的解決具有實際意義。
射頻識別(Radio Frequency Identification,RFID)技術是一種非接觸式自動識別技術,其原理是利用射頻信號和空間耦合傳輸特性,實現對被識別物體的自動識別。RFID技術有別于傳統意義的自動識別技術,它在使用過程中已逐漸顯示其優越性,正成為IT業主要發展趨勢之一。RFID技術應用領域廣闊,在國內外的汽車安全管理及自動收費系統領域中,RF1D技術應用比較成功。目前,汽車的使用越來越普遍,汽車數量也正在呈幾何級數增長。對于汽車的管理問題,已成為擺在人們面前的一個刻不容緩的急迫問題。如何對汽車進行管理,如何提高管理的效率,這一系列問題顯得越來越突出。RF1D 電子卡被應用于汽車的身份識別及其自動收費管理系統中,有助于一系列車輛管理問題的解決。
RFID電子卡載波幅度調制電路采用常用的三點式LC諧振電路,隨著載波頻率點的提高,LC諧振電路工作時,參數的不匹配會導致RFID電子卡產生載波頻率點漂移、偏移以及其它頻率波的產生,在某些特定的環境中,這種載波頻率點漂移、偏移以及雜波的產生甚至會導致RFID電子卡不能有效的工作。通過分析這些存在穩定性問題的RFID電子卡,得出導致RFID電子卡工作不穩定的各種因素,從而有利于對存在問題的RFID電子卡參數進行修改、調整及其穩定性設計提供依據。
最后,給出了部分改進后的RFID電子卡印刷板電路。
實驗結果表明,改進后的RFID電子卡,其穩定性進一步增強,基本上可以滿足在各種場合下對汽車管理提出的穩定性要求。
1 RFID電子卡的工作原理及實現
1.1 RFID電子卡的工作原理
在采用RFID電子卡參于管理的停車場管理系統中,在停車場的出入口都配有RFID 電子卡閱讀器。閱讀器會實時不間斷地發送喚醒RFID 電子卡的特定信號,汽車在經過停車場出人口時,汽車攜帶的RFID電子卡就會被這種特定信號喚醒,標識汽車ID身份的RFID電子卡就會進入工作狀態,把標識自己唯一的ID號通過無線信號發送出去,停車場出人口閱讀器接收到RFID電子卡發出的ID號后,系統會對RFID電子卡的合法性進行判斷,如果合法,就允許配有該RFID電子卡的車輛正常出入,否則將進行攔截,從而實現對進出停車場車輛的有效管理。RFID電子卡與閱讀器之間的通信工作原理圖如圖1所示。

圖1 RFID電子卡的工作原理及硬件實現框圖
該RFID 電子卡的硬件實現框圖如圖1所示,RFID電子卡由喚醒信號接收電路、收發信號處理電路、載波幅度調制電路、無線數據發射電路和天線五部分組成。其中載波幅度調制電路是影響RFID電子卡的穩定性的主要因素,下面詳細分析載波幅度調制電路。
1.2.1 RFID電子卡載波幅度調制電路
RFID電子卡的載波幅度調制電路是通過三點式LC振蕩電路和數據信號的加載電路兩部分組成。載波幅度調制電路如圖2所示。

圖2 載波幅度調制電路

圖3 載波幅度調制電路的關鍵點信號圖
(1)
(1)式中,C為C 的電容量,L為L 的電感量, 為高頻管的集電極與發射極之間的結電容,廠為振蕩電路的振蕩頻率。
2 載波頻率點漂移、偏移和雜波產生的分析
2.1 RFID電子卡載波頻率點漂移和偏移
采用頻譜儀進行分析,RFID 電子卡工作穩定時, 中心頻率點為單一、固定的頻率433.9MHz,如圖4所示。

圖4 RFID電子卡的正常工作頻譜

圖5 載波頻率點偏移、漂移的典型頻譜
2.2 RFID電子卡載波頻率點漂移和偏移的原因
(1)在RFID電子卡的印刷電路板上,螺旋繞制電感容易發生形變,形變的結果會使螺旋繞制電感的參數發生變化。電感L2的電感量變為L ,RFID 電子卡的載波頻率點由公式(2)決定。
(2)
(3)
(4)
(5)
(4)電池在電池槽中的位置歪斜,可能出現電路時斷時通,電源的不穩定會引起頻率點漂移。
(5)在高頻電路中, 電感的感抗隨溫度變化,不同材料的螺旋繞制電感,其電感感抗隨溫度的變化也不同,引起的振蕩頻率依據公式(2)。
2.3 RFID電子卡載波頻率點偏移及雜波的出現
2.3.1 電子卡存在雜波和頻率點偏移
實驗中發現,RFID電子卡通訊出現時有時無,距離越來越短,電池電量相對消耗快。RFID 電子卡除了產生有用的載波頻率之外,同時還伴隨其它頻率波的產生,實際頻譜類似如圖6所示。

圖6 RFID電子卡頻譜中夾雜有雜波
實驗中還發現不能通訊的RFID電子卡,存在載波頻率點發生偏移的同時,還伴隨有其它頻率波的產生,這些雜波出現的現象跟如圖6所示的雜波類似。
2.3.2 電子卡頻率點偏移并伴隨雜波產生的原因
(1)RFID電子卡載頻波中夾雜有其它頻率波, 主要是LC振蕩電路中的螺旋繞制電感L2形狀嚴重發生形變,導致其螺旋電感參數發生變化,比如實際中常存在螺旋繞制電感線圈的長度拉長,螺旋繞制電感線圈的間距不等,存在寄生電容、電感。一個環路滿足公式(6),并且在環路中包含有寄生電容、電感組成的LC諧振電路,就會產生振蕩,就會有其它頻率波的產生,這就是寄生振蕩的緣故。
︱AF ︱≥ 1 (6)
其中公式(6)的A表示振蕩環路的放大系數,F表示振蕩環路的反饋系數。
(2)對于焊接后焊盤上的聚集焊錫形狀應為圓錐型,多余的引線剪切位置如有尖銳毛刺,在RFID電子卡電路中,這些毛刺存在分布電容、電感,如果滿足隨機寄生振蕩的條件,也會導致其它頻率波的產生。由于這種原因存在RFID電子卡工作時隨機出現不同頻率的雜波。
(3)載波頻率點偏移的同時伴隨有其它頻率波的產生,其實是由引發載波頻率點偏移的因素和引發寄生振蕩因素共同作用的結果。
3 載波幅度調制電路的改進設計
3.1 載波幅度調制電路改進的原理
RFID電子卡出現的不穩定,如載波頻率點漂移、偏移以及其它頻率波的產生,RFID電子卡敏感器件容易受實際工作環境因素的影響,這些都會使RFID電子卡不能充分發揮其功能。載波幅度調制電路的改進如圖7所示。

圖7 載波幅度調制電路的改進

圖8 載波調制電路改進后的關鍵點波形
RFID電子卡上的螺旋繞制電感易受到諸多因素影響,又由于微帶線受影響的因素小,采用在印刷電路板上制作微帶線來代替螺旋繞制電感,下面是RFID電子卡微帶線具體設計。微帶線電感的長度選擇: 當
時,z為感性,當L
時,Z為容性,且Z與頻率呈非線形關系,其中k 為微帶線上的波長。RFID電子卡的載波頻率為433.9 MHz,微帶線電感的長度
,實際選擇的長度為L=85.26 mm 。 微帶線的特性阻抗z0的計算公式為:

為自由空間的波阻抗,
為空氣介電常數,w為微帶線的寬度,h為微帶線離地的高度,
為印刷電路板的介電常數,t為微帶線實際的厚度,如圖9中實際微帶線的結構。 
圖9 微帶線在印刷電路板上的截面圖

式中,ZC 為微帶線的特性阻抗;
為微帶線的電導,L為微帶線的長度。 與頻率相關的電感感抗公式:
Z=jwL 由公式(10)和(11)可得出電感量L,然后帶入公式(1),得出振蕩電路選擇電容的電容量。從而實現阻抗的匹配。

圖10 微帶線的印刷板圖
4 RFID電子卡主要指標的提升
(1)傳輸距離:通過實際對比改進前后測量RFID 電子卡的傳輸距離,RFID電子卡傳輸的有效距離由原來的8~9m提高到13~15m。
(2)使用壽命:改進后的電路功耗明顯降低,使用相同電量的電池,改進后的RFID電子卡使用壽命延長1年。
(3)穩定性:改進后的RFID電子卡消除了載波頻率點漂移、偏移及雜波的出現。
(4)成本降低:改進后的RFID電子卡上不再使用螺旋繞制電感, 電路簡單,性價比好。
5 實驗與總結
通過分析RFID 電子卡不穩定的各種因素,重新設計RFID電子卡載波幅度調制電路,消除了RFID 電子卡載波頻率點偏移、漂移以及其它頻率波的產生,RFID 電子卡的穩定性效果明顯增強,這對目前RFID電子卡穩定性問題的解決具有實際意義。