檢測無源 RFID 電子標簽諧振頻率的耦合器之關鍵技術研究
RFID主要由閱讀器和應答器兩大部分組成。閱讀器(如圖1)是數據捕獲系統,內含一個與應答器相配合的耦合元件。應答器(如圖2)是數據載體,內含一個微型芯片和一個天線線圈組成的耦合元件[1]。

圖3所示為無源RFID閱讀器和應答器的LC振蕩回路工作原理[2]。閱讀器中有由線圈L1電容C1構成的LC振蕩回路1,這個振蕩回路可以產生頻率為f0的交變磁場。應答器中線圈回路的分布電容C’和外接調諧電容C共同構成電容C2與線圈L2并聯形成LC振蕩回路2,其諧振頻率為f,當應答器線圈置于閱讀器的交變磁場中并且其諧振頻率f與閱讀器交變磁場的頻率f0相同時,振蕩回路1、2產生諧振。諧振使閱讀器天線線圈產生非常大的電流,使應答器線圈上的感應電壓達到最大值,經二極管整流后作為穩定的電壓給微型芯片提供工作所需要的能量,完成閱讀器對芯片上的信息讀寫[3-4]。

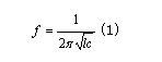
LC振蕩回路的頻率可根據湯姆遜公式(1)計算得到:
(1)

應答器的諧振頻率f是根據所制作的LC振蕩回路的電容值C2和電感值L2得到的。
應答器的天線線圈可以用金屬蝕刻法、金屬線纏繞法、真空鍍金屬法和導電油墨印刷法等多種方法制作得到。線圈生產完成后,其電感值L2就已經確定,根據所測定的線圈電感值L2及閱讀器的發送頻率f0,可與確定所需匹配的電容值C。由于線圈回路附帶了一個分布電容C’,也稱為內部寄生電容,而且分布電容C’的值不可測得,所以通過正確合理的方法選擇調諧電容C就顯得十分重要了。
2、關于調諧電容C的計算
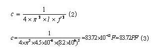
如圖4所示為筆者用導電油墨印制的應答器線圈,根據閱讀器發送頻率的要求,所制作的應答器的諧振頻率f應為8.2 。通過電感測試儀測得線圈電感的大概值為4.5 。
變換公式1得到:

在標準電容值中選擇82PF的電容器幫定到圖4所示的線圈導線兩端,如圖5所示為幫定了82PF電容器的應答器。

由于在計算中沒有慮及線圈的分布電容C’,因此,根據公式(3)計算得到的82PF電容值實際上是應答器中的分布電容C’和調諧電容C的總和。若將82PF作為調諧電容值匹配到線圈上,則線圈的總電容值增大,LC回路中的所得到的諧振頻率 必定比要求的8.2 小,將不能與閱讀器產生諧振,因此必須修正調諧電容值。在修正調諧電容值的過程中要反復的檢測修正以后的電子標簽的諧振頻率,這就需要有專門的儀器來測量電子標簽的諧振頻率,由于目前還沒有用來檢測無源電子標簽諧振頻率的合適的儀器,所以筆者自己設計了一款耦合器,這種耦合器通過實驗可以很好的完成檢測電子標簽諧振頻率的工作,下面我們來詳細介紹這款耦合器。
3、耦合器的工作原理
耦合器的核心部分是兩組圍繞在中空圓筒體上的半徑為r、匝數為N的線圈2、3,兩組線圈平行共軸,中心間距L正好為線圈半徑r,從而構成了一個亥姆霍茲線圈[5-6]。如圖6所示。

取L的中心“O”作為空間坐標體系x、y、z軸的中心。產生的磁場分布如圖7所示

圖7曲線“I”、“II”、“II”內各點的磁感應強度H與中心點的磁感應強度H0的相對誤差分別小于1.0%、0.1%和0.01%,中心點0附近的磁場相當均勻,越靠近中心點,磁場均勻性越好。因此,檢測無源RFID應答器頻率時,把應答器放在亥姆霍茲線圈所產生的磁場空間的中心點O上,以使應答器平面上各點所得到的磁場均勻,磁感應強度幾乎相等。
4、耦合器的主要結構

耦合器結構如圖8所示,粘在底座6上的圓柱體1是由1mm厚的硬質塑料板或硬質紙板圍成的半徑為R的空心筒體。導線2,4分別在筒體1表面繞成緊密相挨的兩圈, 其垂直距離L等于筒體1的半徑R。支撐塊3粘在筒體1的外壁上,其內部安裝兩個BNC接頭7、8、變壓器鐵芯9、兩個變壓器線圈10、11以及兩個調諧電容,圓筒體1中間有圓柱體擱臺5用來放置待檢測的電子標簽。圖9(a-d)所示為耦合器實物圖。

5、應答器頻率測定原理

與耦合器匹配的頻譜分析儀如圖10所示,接口1是信號源輸出端口,與耦合器的接頭7相連,為耦合器提供信號,接口2是信號輸入端口,與耦合器的接頭8相連,將應答器的諧振信號輸入頻譜分析儀,根據頻譜分析儀屏幕上所顯示的感應電壓曲線分析應答器的諧振頻率。

當頻譜分析儀的掃頻頻率與應答器的振蕩頻率相同時產生諧振,應答器回路中的線圈及電容上的電壓上升至一峰值。頻譜分析儀上所顯示的感應電壓曲線的峰值所對應的掃描頻率即為所測應答器的諧振頻率。
為了避免耦合器內部的LC振蕩回路的振蕩頻率對待測應答器諧振頻率的影響,要求耦合器的自身振蕩頻率至少在應答器諧振頻率的兩倍以上。如筆者研制的RFID應答器諧振頻率為8.2 ,則為匹配該應答器所研制的耦合器的振蕩頻率為40 左右。
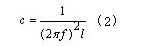
根據湯姆遜公式(1)計算LC振蕩頻率研制耦合器時,應根據變壓器的線圈電感L1、L2值,分別匹配電容。電容值可根據公式(2)計算得到:

(2)
LC回路1的電容由調諧電容C1與分布電容C4并聯構成,LC回路2的電容由調諧電容C2與分布電容C3并聯構成,由于分布電容C3、C4很小,耦合器的振蕩頻率比應答器的諧振頻率大得多,根據公式(2)分別計算得到的振蕩回路的電容值可近似認為調諧電容C1、C2的值。
6、關于調諧電容C的精確計算
為了能夠準確計算出能使電子標簽產生諧振的調諧電容,必須確定線圈分布電容C’ 的值。因此,筆者必須要測定圖5所示應答器的實際頻率f實際。
利用上述的耦合器來檢測我們的印刷出來的電子標簽的頻率,實驗測得:匹配了82PF的調諧電容后,該應答器的實際諧振頻率為6.2 ,而不是所要求的8.2 。
考慮到用電感測試儀測定的電感值有一定的偏差,所以,用公式(3)計算得到的電容值不是很準確,我們還需要對調諧電容做進一步的匹配,在消除公式(3)中電感測量誤差的情況下再計算分布電容。
由于分布電容較小,我們先忽略分布電容的值,考慮在實際頻率為8.2 的情況下,重新匹配調諧電容C。變換公式(3),得到:

選擇51PF的電容器幫定到標簽上,測得標簽的實際頻率為7.3 。因此:分布電容C’的計算可以通過公式(5)得到:

分布電容C’=29.26PF。
為了使LC回路得到8.2 的諧振頻率,調諧電容C 的計算可以通過公式(6)得到:

選擇標準電容值75PF的電容器幫定到LC回路中。經測試LC回路的諧振頻率為8.31 ,這是最接近閱讀器發送頻率的諧振頻率。雖然實際匹配的調諧電容值與計算得到的調諧電容值有微小的誤差,導致了LC回路諧振頻率與閱讀器發送頻率之間也存在微小的誤差。但是由于閱讀器的發送頻率在一個(f±10%)的掃頻范圍內,該調諧電容的誤差可以得到彌補。
7、結論
我們設計的耦合器可以方便地檢測無源電子標簽的諧振頻率,根據反復的檢測來計算電子標簽的分布電容從而可以計算出我們所需要的調諧電容。頻率檢測方法實用,準確性高,為無源電子標簽的電容和芯片的匹配提供了可靠的依據。