環形線圈車輛檢測器的研究
1 引言
隨著車輛的增多和交通的飛速發展,在道路交通管理與控制中對交通信息的需求越來越多。交通信息的采集是通過車輛檢測器實現的,車輛檢測器根據采用的不同技術主要分為線圈檢測、視頻檢測、微波檢測、紅外線檢測、雷達檢測、激光檢測等。環形線圈車輛檢測器相對于其他檢測器具有低成本、高可靠性、高檢測精度、全天候工作的優點,是目前應用最廣泛的車輛檢測器。
本文介紹的車輛檢測器具有獨立檢測、數據處理、數據通訊的功能,可以提供車流量、車速、車型分類、時間占有率、排隊長度的綜合交通信息,并且可應用在更廣的范圍。本文對檢測器的原理和檢測精度做了深人的分析,為檢測器的檢測參數設計提供了有效理論依據。
2 檢測器主要功能
1)交通信息采集、處理功能:交通信息采集是檢測器的基本功能,檢測器通過檢測線圈感應量的變化判斷車輛的有無,然后CPU對數據進行計算后得出車流量、平均速度、時間占有率、平均車長、平均車間距等交通數據。檢測器的靈敏度可人工設置。
2)數據存儲功能:檢測器可存儲計算后得到的數據。如果通信中斷,一旦恢復,可由通信端口上傳歷史數據到便攜電腦或控制中心,保持數據完整。
3) 故障檢測功能:檢測器具備對線圈斷路和短路故障的檢測。在發現故障時,檢測器能上傳故障信息。所存儲的信息能在檢測器或與檢測器相連的外部設備(該設備可檢索并顯示儲存信息)上顯示、查閱。以代碼或文本形式記錄下故障類型與細節;故障發生的時間與日期、故障清除的時間與日期可以通過維護工具和中心系統查詢。
4) 通信功能:檢測器標準配備2個RS-2犯通信接口(其中一個可設為RS-485通信接口),通信速率4800bps-19200bps通過串口,可對車輛檢測器工作參數進行設置,可以實現GPRS,CDMA的通訊方式。
3 檢測器基本工作原理
線圈車輛檢測器與埋在道路中間的線圈連接,車輛經過線圈后使線圈電感量發生變化,檢測器內部電路振蕩頻率隨著線圈電感量的變化而變化,CPU通過計數脈沖數量判斷電路振蕩頻率的變化從而判斷車輛的有無,然后計算相關的交通參數。
檢測器采用模塊化設計,硬件系統主要由機架母板、電源模塊、檢測模塊、處理模塊組成,檢測模塊將地感線圈電感量的變化轉化為開關量后,經機架母板傳送給處理模塊進行數據計算、處理,電源模塊負責整機各模塊供電和電源管理,檢測器的硬件功能如圖1所示。

圖 1 車輛檢測器硬件功能示意圖
4 檢測器檢測精度計算
檢測精度是檢測器的關鍵性能指標,這里主要通過理論計算結合經驗值的方法,計算和估計檢測精度。通過估算,可以看出影響檢測精度的因素及影響程度,對檢測精度的性能參數設計有指導意義。
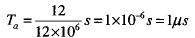
1)檢測速度計算:檢測速度范圍即檢測板所能正常檢測的車輛速度范圍。單片機時鐘為12Mhz,則一個指令周期為:

設每個檢測周期計數250個脈沖,頻率約為l00kHz 數時間約為:

2.5ms即為計數時間粒度。根據經驗,在適當的靈敏度下車輛經過線圈1/2-1/3處檢測器可判斷為有車,線圈大小為2mx 2m,一般車長約為4m,可算出車輛經過線圈檢測器可判斷為有車的長度范圍為4m。
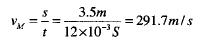
為保證能夠正確檢測到車輛通過,程序連續檢測到三個2.5ms有車時,判斷為車輛經過,程序判斷時間總共約4.5ms,則車輛在線圈通過有效感覺范圍的時間不能少于12ms,由此可以算出可檢測車輛最高速度為:

上式表明,在291.7m/s的速度范圍內,檢測器都可以對車輛的存在做出相應的響應。
2) 檢測速度誤差:每路線圈檢測計數時間約為2.5ms,達到計數值后單片機定時器記錄時間值,然后進行判斷等操作,這段處理程序大約300500行,按一行 C語言折合3行匯編指令算,最多1500條指令,指令周期為lus,時間需要1500x1us=1.5ms,可得出每路檢測時間約為4ms,即最大時間誤差為4ms。速度線圈對著的中心間距為4m,按檢測速度160km/h計算,則通過兩線圈最短時間為:

3) 流量精度:流量即為統計周期內通過線圈車輛的數量。前面描述可測速度范圍為291.7m/s,所以速度對流量檢測精度的影響可忽略。車輛的底盤高度直接影響車輛經過線圈所引起的電感量的變化,底盤高的引起的變化小,底盤低的引起的變化大,當底盤高出一定范圍可能不能被檢測到。目前轎車地盤高度在 150-200mm,中小客車的底盤高度一般在400mm左右,對于不同車型車輛通過的檢測精度也不相同。另外,饋線長度的增加會造成饋線部分電感比例加大,相對于線圈電感量的變化比值就比較小,對檢測精度有一定影響。
所以流量精度受車型、饋線長度等現場因素影響,可根據實際情況調整振蕩頻率和檢測靈敏度以保證最高的流量計算精度。
4) 時間占有率精度:適當的靈敏度下車輛經過線圈1/21/3處檢測器可判斷為有車,在160km/h情況下,由式(5)得4m長度車輛通過單個線圈最短檢測響應時間為90ms。
每輛車最大檢測時間誤差為4ms,據統計,平均每車道1分鐘車流量在20-40輛車,統計周期10秒至60分,取周期為30分,流量每分40輛計算。則車道最大占有時間誤差△tmax為: