一種UHF頻段寬帶電子標簽天線的設計分析
1 引 言
射頻識別(Radio Frequency Identification,RFID)技術是近年來興起的一種自動識別技術。射頻識別系統主要由讀碼系統和標簽系統組成,通過無線射頻信號傳遞信息,天線性能的好壞直接影響到整個系統的讀寫距離和識別率。RFID標簽芯片阻抗一般具有電阻較小而容抗較大的特點,且每個芯片都有其特定阻抗,因此必須針對特定芯片設計與之匹配的標簽天線。
目前,RFID沒有全球統一的頻率劃分規范,在UHF頻段,主要有歐洲的866~869 MHz及美國的902~928 MHz。中國剛剛公布的頻率標準為840~845 MHz和920~925 MHz兩個頻段。2005年9月,Cho,C等提出一種雙支彎折偶極子加雙T形饋電網絡的標簽天線結構,帶寬達到65 MHz(S11<-10 dB),實現了在867 MHz及915 MHz雙頻諧振,但是此天線結構復雜、阻抗匹配調整不便。H.Choo等提出另一種實現寬頻的較簡單的天線結構,即電磁耦合饋電結構,但是天線結構仍然較復雜,參數較多,阻抗調整不易。Li Yang等的文章中提出一種增益很高的雙輻射邊天線,但是全向性不好,標簽使用范圍受限制。
本文同樣采用電磁耦合饋電結構,針對Philips公司的SL3S3001 FTT芯片設計了一種結構簡單,阻抗匹配方便,在867 MHz和915 MHz均出現頻率諧振點,具有較強的實用價值的標簽天線。設計時采用Zeland公司的IE3D軟件進行仿真實驗,介質板采用工業上最常用、價格又低廉的FR4敷銅板,其厚度為1.6 mm,敷銅厚0.03 mm,介電常數4.7。
2 標簽天線設計
標簽芯片的阻抗一般呈現大的容性電抗和小的電阻,這樣高Q值的芯片阻抗,使得匹配天線的設計變得很困難,并且限制了天線的阻抗帶寬。但是由于成本和制造的要求,標簽天線必須直接與芯片匹配。
以前常用的各種變形偶極子標簽天線為了實現同芯片的阻抗匹配,其諧振頻率與匹配的頻率之間存在差異,致使阻抗帶寬呈窄帶特性。文獻[3]中提出的電磁耦合饋電結構模型較好地解決了這個問題。此結構由一個獨立的輻射主體和一個與之耦合的環形線圈組成,由文獻[3]中的等效電路可知,在諧振頻率處,天線的輸入阻抗Z0各分量為:

其中Rrb,0為輻射主體在諧振頻率附近的輻射電阻,M為輻射主體和饋電環之間的互感系數,Lloop為饋電環的自感系數。可見R0與X0可獨立調整,便于實現天線電阻與任意芯片阻抗的匹配。利用此結構設計出如下對稱結構的標簽天線。其結構和阻抗變換特性如圖1~圖3所示。

仿真結果顯示,此結構天線的諧振頻率主要由輻射主體的有效電長度決定。由圖2可見,輻射主體與耦合環的大小均不變,兩者間距d增加時,輸入阻抗的實部減小,虛部負斜率部分逐漸減弱消失,耦合減弱,但諧振頻率基本不變。其他值保持不變,W1變化時天線輸入阻抗變化規律與圖3相似,可見輻射主體大小不變,輻射主體與耦合環間距也不變,耦合環的長度L1或寬度W1增加時,輸入阻抗的實部和虛部均增加,耦合強度不變,諧振頻率略為降低。
可見此結構的天線輸入阻抗及諧振頻率的調整十分方便,通過調節設計出一種覆蓋歐洲和美國兩種標準頻帶寬度的標簽天線,其尺寸如表1所示,仿真結果如圖4所示。

由圖4可見天線輸入阻抗的虛部在諧振頻率附近比較平坦,使得天線和芯片阻抗在一個較寬的頻段內共軛匹配,阻抗帶寬達到77 MHz(S11<-10 dB)。在867 MHz和915 MHz附近有兩個諧振峰,天線方向圖滿足全向性。
3 天線性能分析
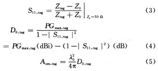
在實際制作天線前,我們先對仿真結果進行了評價分析。由于IE3D軟件模擬分析得到的天線增益是建立在系統特征阻抗為50 Ω的系統上的,而本文所設計的標簽天線是輸入阻抗為與芯片阻抗共軛匹配,因此模擬分析結果需要對天線正規化才能得到正確的方向性(D0)與有效接收面積。

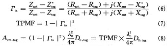
其中λ0=c/f本文天線設計主要針對阻抗做最大功率轉移匹配,由式(6)標簽芯片與標簽天線阻抗介面的反射系數(Γta),定義功率不匹配因數(Tag Power Mismatch Factor,TPMF)為式(7),當阻抗為共軛匹配時,TPMF為1。

其中TPMF值預測了天線與芯片的阻抗匹配程度,而Aem,tag預測了天線有效接收面積。以PHILIPS公司的SL3S3001 FTT芯片的阻抗為參考,分析了上文設計的標簽天線的特性,如表2所示。文獻[8]中設計的四種標簽天線的有效面積最大達到900多cm2,而本文設計的天線在867 MHz和915 MHz處的有效面積在1 300 cm2以上,TPMF也達到0.8左右,可見天線性能均比較理想。

4 試驗測量
根據所設計的標簽天線尺寸,制作了如圖5所示的標簽天線實物。

標簽天線的大小為60 mm×44 mm,滿足一般應用對標簽面積的要求,標簽使用的是Philips公司的SL3S3001FTT芯片,符合ISO18000標準。應用支持該標準的AWID公司的閱讀器進行測量,在輻射功率為4 W,標簽天線與閱讀器天線面平行的測量條件下,中心頻率為867 MHz時閱讀距離為1.9 m;中心頻率為915 MHz時閱讀距離可達2.4 m,基本達到應用要求。由于實驗室制作條件所限,我們采用蝕刻技術制作的標簽天線精度不到±0.1 mm,而從仿真結果可見只有保證±0.05 mm的精度,制作公差的影響才可忽略不記,因此在保證制作精度的條件下,閱讀距離應該可以進一步增加。
5 結語
耦合饋電結構的電子標簽天線具有結構簡單,阻抗實部虛部可單獨調節,阻抗帶寬較寬等優點,本文設計的電子標簽結構非常簡單,針對不同芯片的阻抗匹配方便,帶寬達到77 MHz,在867 MHz和915 MHz處有兩個諧振頻率,可同時滿足歐洲和美國的UHF射頻頻段標準。