射頻識別系統中數字處理核心模塊的研究
作者:馬玉秋,沈樹群,吳京松,李國華
來源:《電子設計應用》
日期:2009-05-13 09:12:04
摘要:闡述了射頻識別系統中數字處理核心模塊基于隨機延遲的防碰撞算法,在數學分析的基礎上給出了系統的穩定條件.詳細介紹了相關的關鍵技術研究即數據安全技術,并設計了一套集加密與糾錯于一體的通信系統.討論了讀寫器數字處理核心模塊的研究與設計,并對其新一代的研發做了規劃。
0 引言
射頻識別(RFID,radio frequency identification)技術是一種自動識別技術,從20世紀90年代開始逐步走向商業應用.與其他傳統識別系統相比,射頻識別系統具有非接觸式識別的優點,在完成識別工作時無須人工干預,可識別高速運動物體并可同時識別多個射頻卡,操作快捷方便.射頻卡可以反復使用,且不易損壞,特別適用于各類管理系統的信息自動化采集。
射頻識別系統至少應包括讀寫器和射頻卡(或稱電子標簽)2部分.讀寫器和射頻卡之間通過無線收發模塊及天線(或感應線圈)實現無線雙向通信,讀寫器通過天線以電磁場的形式向外發射能量,處于該電磁場中的(無源)射頻卡接收到電磁場能量后被激活并向讀寫器發送信息數據,讀寫器對收到的數據進行校驗、解碼、編碼等一系列操作之后,通過接口模塊與計算機實現信息交互。
RFID技術在生產、零售、物流、交通等多領域潛在的巨大應用前景,近幾年尤其是2003年以后引起了國內外的廣泛關注.很多知名公司如SAP、微軟、IBM等紛紛投入到RFID專用軟硬件的研發中,這使得RFID技術在國外進展迅速并開始走向商用.國內在RFID技術研發上相對滯后很多且大都處于研發起步階段,倍受國外RFID技術專利和標準壁壘的限制,因此,盡早制定標準以及加大力度研發自主知識產權的技術與產品在目前顯得尤為重要。
目前,RFID技術研究的重點集中于頻率干擾、多卡識別干擾、信息數據安全、識別距離以及運動物體對識別的影響等問題上.數字處理核心模塊作為讀寫器的核心部分,與這些核心問題的解決息息相關,也是決定技術成果的知識產權歸屬的重要因素。因此,獨立自主地研究和設計數字處理核心模塊,包括防碰撞算法和數據加密糾錯等關鍵技術的研究,具有很重要的現實意義。
1 隨機推遲防碰撞算法
針對RFID系統的多卡識別干擾,隨機推遲防碰撞(anti-collision)算法可以使讀寫器同時對處于天線識別區域內的多個射頻卡進行多卡識別.該算法采用硬件方式或軟件方式,或者二者相結合的方式應用于讀寫器的數字處理核心模塊中.采用軟件方式來實現防碰撞,使系統簡化且易于修改,但在以單片機為主體的數字處理模塊中,由于響應時間相對較長而使應用場合受限,而在以高速DSP為主體的字處理模塊中,這種受限度將會有所降低。
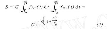
算法概述:RFID系統工作時,即使有多個射頻卡同時在識別區域內,在某一時間片內也只能有1個射頻卡和讀寫器通信,若定義信道占用率R(T0)為T0時長內平均占用信道的射頻卡數量,則(RT0)≤1(T0為不發生碰撞時完成1次通信的時長).當碰撞發生時,對于n>1個同時申請信道的射頻卡,算法提供信道的分配規則,并使信道占用率滿足
該算法的狀態轉移圖如圖1所示.
狀態S2:如有n(n≥1)個射頻卡到達則分別申請占用信道。
狀態S3:讀寫器收到申請后判斷是否有碰撞發生。
狀態S4:n=1不發生碰撞,射頻卡占用信道至通信結束。
狀態S5:n>1發生碰撞,讀寫器發給射頻卡延時命令。
狀態S6:射頻卡按照算法延時等待后回到S2狀態,重新申請信道。
狀態S7:當射頻卡的輸入負載G大于某極限值時,碰撞次數急劇增加,系統吞吐量降低,進入不穩定狀態.系統設計時應當避免超載狀態S7。
計算機模擬實驗和實際應用結果表明,該算法可以保證在發生碰撞時,系統迅速地將多個射頻卡識別出來,達到了實用化程度。下面對該算法的平均響應時間和系統吞吐量進行數學分析。
很多情況下,電子標簽任意2次到達的時間間隔Δt服從指數分布,其概率密度為
n>1時發生碰撞,令發生碰撞后所有爭用信道的射頻卡自行產生推遲時長kTA,其中k為射頻卡時延隨機因子,它是[0,K]內均勻分布的隨機數,K為讀寫器設計給定的時限,k、K均為正整數.產生k的概率為
其中Pc表示到達的射頻卡中能夠成功完成通信的概率
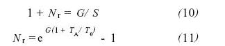
當G≤(1+TA/T0)-1時,吞吐量隨G的增大而上升,系統處于穩定狀態,否則吞吐量隨G的增大而急劇下降,系統在碰撞后將要根據算法產生時延因子k,由于0≤k≤K,碰撞后可能產生的時延在0到KTA之間.假設每個射頻卡平均重發Nr次,則平均響應時間為
由上述的關系式可以得到平均響應時間τ和吞吐量S之間的關系曲線如圖2所示.由圖可見,S增大時,τ也增大。但當S過大時,系統的穩定性變差.
圖2平均響應時間和吞吐量的關系曲線
本文根據射頻識別通信系統AM調制抗噪聲性能不強、數據量小、信道特性速率要求不高且發射功率受限等信道特性,提出了一種高效、實用的集加密糾錯功能于一體的算法。
1)加密算法
設G是任意(n,k,2t+1)線形分組碼的k×n階生成矩陣,其中n為碼長;k為信息組(明文)長;2t+1為碼的最小距離.在GF(2)上找一個n×n階置換矩陣P,設M是長為K的二進制明文,則加密算法描述為
Ek(M)=(MG+Z)P=MGP+ZP=C
式中,“+”為模2加,Z為二進制偽隨機序列,G、P、Z由密鑰決定,它們都是加密的,只有收、發雙方已知.P為置換矩陣,因此也是一個滿秩矩陣,存在逆陣P-1.
2)解密算法
當密文通過有擾信道傳輸到達接收端后,由于信道干擾,密文C成為R=C+E,E是信道錯誤圖樣,接收端收到R后,其解密算法如下:
①右乘P-1并模2加Z序列D1(R)=RP-1+Z=CP-1+EP-1+Z=MG+EP-1
②譯碼
D2(MG+EP-1)=M
3)算法說明
把信道錯誤圖樣A=(an-1an-2.a1a0)∈Vn(F2)中非零元素的個數稱為向量A的Hamming權重,記為
由加密算法可以看出,該加密、糾錯技術既有序列密碼的偽隨機密鑰序列,又有不太大的分組加密算法,因此,它是將序列密碼體制與分組密碼體制相結合的密碼體制,并且系統本身還具有較強的糾、檢錯能力。數據在信道中傳輸時,由于干擾的存在,不可避免地會產生隨機錯誤和突發錯誤。作為差錯控制用的糾錯碼,若要求同時糾正這2種錯誤,效果一般不理想。為此,可將它與交錯碼結合起來,利用交錯碼把長的突發錯誤分散開,離散成隨機錯誤,最后按隨機錯誤用線形分組碼予以糾正,即按上述基本算法進行加密糾錯編碼后,再進行交錯編碼,這種算法可以適用于各種信道,既能糾隨機錯誤,又能糾突發錯誤。
根據以上的算法理念,設計了可傳輸的加密與糾錯相結合的通信系統結構如圖3所示
數字處理核心模塊主要負責完成基帶信號處理并與主機進行通信.它主要由數字信號處理模塊、編碼模塊、解碼模塊以及與主機通信的接口模塊4部分組成.數字信號處理模塊把從主機接收來的指令進行重新組合,裝配成編碼模塊能夠識別的指令,發送給編碼模塊;當射頻卡響應指令返回數據時,數字信號處理模塊把從解碼模塊接收到的數據進行組合,并進行CRC校驗.若檢驗結果錯誤,則把錯誤信息報告主機,并請求或等待重發指令;若校驗結果正確,則對數據進行一系列的處理操作,并與主機進行信息交互,報告相應的正確信息或等待主機進行下一步的操作指令。
數字處理核心模塊對整個讀寫器系統是最為重要的一環,它在很大程度上決定著整個系統性能的優劣,鑒于這個原因以及需求復雜度上升的需要,有必要突破原先數字處理部分由單片機和可編程邏輯器件(CPLD)組成的設計方案,轉而用具有高運算能力和高拓展性能的DSP芯片和CPLD來提升讀寫器的性能,這樣不僅可以使RFID讀寫系統具備更高的運算處理能力以及更可靠的數據安全性能,而且可以提高系統的防碰撞性能并可同時識別更多的射頻卡。
為確保所研制的RFID識別系統的性能逐步提升并保持較為先進的國內水平,確立下一步以數字處理核心模塊的研究作為重點,研究和開發以DSP為主體的射頻識別讀寫器(13.56MHz),擬定如下新一代研發計劃。
①采用DSP芯片替代單片機,完成單片機的工作,并配合CPLD芯片實現防碰撞算法。
②使用一片CPLD代替原有的2個CPLD,完成編碼、解碼和差錯控制工作。
③摒棄原電路設計采用的元器件的插裝工藝,利用表貼技術開發RFID核心模塊,以提高整個系統的組裝密度,縮小產品體積,減輕重量,提高系統的可靠性和抗振能力。
④優化讀寫器性能,在不增大發射功率的前提下,增加讀寫距離。
圖4是目前正在研發的新一代射頻識別系統數字處理核心模塊原理框圖。
作為取得自主知識產權的重要因素,數字處理核心模塊化的研究和設計是RFID技術應用研究的重心所在,圍繞這個重心,本文討論了在防碰撞算法、數據加密糾錯技術以及模塊化研發上取得的突破,應用結果表明,這些關鍵技術完全可以滿足應用,且對RFID系統研發具有重要的借鑒意義。
射頻識別(RFID,radio frequency identification)技術是一種自動識別技術,從20世紀90年代開始逐步走向商業應用.與其他傳統識別系統相比,射頻識別系統具有非接觸式識別的優點,在完成識別工作時無須人工干預,可識別高速運動物體并可同時識別多個射頻卡,操作快捷方便.射頻卡可以反復使用,且不易損壞,特別適用于各類管理系統的信息自動化采集。
射頻識別系統至少應包括讀寫器和射頻卡(或稱電子標簽)2部分.讀寫器和射頻卡之間通過無線收發模塊及天線(或感應線圈)實現無線雙向通信,讀寫器通過天線以電磁場的形式向外發射能量,處于該電磁場中的(無源)射頻卡接收到電磁場能量后被激活并向讀寫器發送信息數據,讀寫器對收到的數據進行校驗、解碼、編碼等一系列操作之后,通過接口模塊與計算機實現信息交互。
RFID技術在生產、零售、物流、交通等多領域潛在的巨大應用前景,近幾年尤其是2003年以后引起了國內外的廣泛關注.很多知名公司如SAP、微軟、IBM等紛紛投入到RFID專用軟硬件的研發中,這使得RFID技術在國外進展迅速并開始走向商用.國內在RFID技術研發上相對滯后很多且大都處于研發起步階段,倍受國外RFID技術專利和標準壁壘的限制,因此,盡早制定標準以及加大力度研發自主知識產權的技術與產品在目前顯得尤為重要。
目前,RFID技術研究的重點集中于頻率干擾、多卡識別干擾、信息數據安全、識別距離以及運動物體對識別的影響等問題上.數字處理核心模塊作為讀寫器的核心部分,與這些核心問題的解決息息相關,也是決定技術成果的知識產權歸屬的重要因素。因此,獨立自主地研究和設計數字處理核心模塊,包括防碰撞算法和數據加密糾錯等關鍵技術的研究,具有很重要的現實意義。
1 隨機推遲防碰撞算法
針對RFID系統的多卡識別干擾,隨機推遲防碰撞(anti-collision)算法可以使讀寫器同時對處于天線識別區域內的多個射頻卡進行多卡識別.該算法采用硬件方式或軟件方式,或者二者相結合的方式應用于讀寫器的數字處理核心模塊中.采用軟件方式來實現防碰撞,使系統簡化且易于修改,但在以單片機為主體的數字處理模塊中,由于響應時間相對較長而使應用場合受限,而在以高速DSP為主體的字處理模塊中,這種受限度將會有所降低。
算法概述:RFID系統工作時,即使有多個射頻卡同時在識別區域內,在某一時間片內也只能有1個射頻卡和讀寫器通信,若定義信道占用率R(T0)為T0時長內平均占用信道的射頻卡數量,則(RT0)≤1(T0為不發生碰撞時完成1次通信的時長).當碰撞發生時,對于n>1個同時申請信道的射頻卡,算法提供信道的分配規則,并使信道占用率滿足

該算法的狀態轉移圖如圖1所示.

圖1防碰撞算法狀態轉移圖
狀態S2:如有n(n≥1)個射頻卡到達則分別申請占用信道。
狀態S3:讀寫器收到申請后判斷是否有碰撞發生。
狀態S4:n=1不發生碰撞,射頻卡占用信道至通信結束。
狀態S5:n>1發生碰撞,讀寫器發給射頻卡延時命令。
狀態S6:射頻卡按照算法延時等待后回到S2狀態,重新申請信道。
狀態S7:當射頻卡的輸入負載G大于某極限值時,碰撞次數急劇增加,系統吞吐量降低,進入不穩定狀態.系統設計時應當避免超載狀態S7。
計算機模擬實驗和實際應用結果表明,該算法可以保證在發生碰撞時,系統迅速地將多個射頻卡識別出來,達到了實用化程度。下面對該算法的平均響應時間和系統吞吐量進行數學分析。
很多情況下,電子標簽任意2次到達的時間間隔Δt服從指數分布,其概率密度為


n>1時發生碰撞,令發生碰撞后所有爭用信道的射頻卡自行產生推遲時長kTA,其中k為射頻卡時延隨機因子,它是[0,K]內均勻分布的隨機數,K為讀寫器設計給定的時限,k、K均為正整數.產生k的概率為


其中Pc表示到達的射頻卡中能夠成功完成通信的概率



當G≤(1+TA/T0)-1時,吞吐量隨G的增大而上升,系統處于穩定狀態,否則吞吐量隨G的增大而急劇下降,系統在碰撞后將要根據算法產生時延因子k,由于0≤k≤K,碰撞后可能產生的時延在0到KTA之間.假設每個射頻卡平均重發Nr次,則平均響應時間為


由上述的關系式可以得到平均響應時間τ和吞吐量S之間的關系曲線如圖2所示.由圖可見,S增大時,τ也增大。但當S過大時,系統的穩定性變差.
圖2平均響應時間和吞吐量的關系曲線

本文根據射頻識別通信系統AM調制抗噪聲性能不強、數據量小、信道特性速率要求不高且發射功率受限等信道特性,提出了一種高效、實用的集加密糾錯功能于一體的算法。
1)加密算法
設G是任意(n,k,2t+1)線形分組碼的k×n階生成矩陣,其中n為碼長;k為信息組(明文)長;2t+1為碼的最小距離.在GF(2)上找一個n×n階置換矩陣P,設M是長為K的二進制明文,則加密算法描述為
Ek(M)=(MG+Z)P=MGP+ZP=C
式中,“+”為模2加,Z為二進制偽隨機序列,G、P、Z由密鑰決定,它們都是加密的,只有收、發雙方已知.P為置換矩陣,因此也是一個滿秩矩陣,存在逆陣P-1.
2)解密算法
當密文通過有擾信道傳輸到達接收端后,由于信道干擾,密文C成為R=C+E,E是信道錯誤圖樣,接收端收到R后,其解密算法如下:
①右乘P-1并模2加Z序列D1(R)=RP-1+Z=CP-1+EP-1+Z=MG+EP-1
②譯碼
D2(MG+EP-1)=M
3)算法說明
把信道錯誤圖樣A=(an-1an-2.a1a0)∈Vn(F2)中非零元素的個數稱為向量A的Hamming權重,記為

由加密算法可以看出,該加密、糾錯技術既有序列密碼的偽隨機密鑰序列,又有不太大的分組加密算法,因此,它是將序列密碼體制與分組密碼體制相結合的密碼體制,并且系統本身還具有較強的糾、檢錯能力。數據在信道中傳輸時,由于干擾的存在,不可避免地會產生隨機錯誤和突發錯誤。作為差錯控制用的糾錯碼,若要求同時糾正這2種錯誤,效果一般不理想。為此,可將它與交錯碼結合起來,利用交錯碼把長的突發錯誤分散開,離散成隨機錯誤,最后按隨機錯誤用線形分組碼予以糾正,即按上述基本算法進行加密糾錯編碼后,再進行交錯編碼,這種算法可以適用于各種信道,既能糾隨機錯誤,又能糾突發錯誤。
根據以上的算法理念,設計了可傳輸的加密與糾錯相結合的通信系統結構如圖3所示

圖3加密與糾錯相結合的通信系統結構
數字處理核心模塊主要負責完成基帶信號處理并與主機進行通信.它主要由數字信號處理模塊、編碼模塊、解碼模塊以及與主機通信的接口模塊4部分組成.數字信號處理模塊把從主機接收來的指令進行重新組合,裝配成編碼模塊能夠識別的指令,發送給編碼模塊;當射頻卡響應指令返回數據時,數字信號處理模塊把從解碼模塊接收到的數據進行組合,并進行CRC校驗.若檢驗結果錯誤,則把錯誤信息報告主機,并請求或等待重發指令;若校驗結果正確,則對數據進行一系列的處理操作,并與主機進行信息交互,報告相應的正確信息或等待主機進行下一步的操作指令。
數字處理核心模塊對整個讀寫器系統是最為重要的一環,它在很大程度上決定著整個系統性能的優劣,鑒于這個原因以及需求復雜度上升的需要,有必要突破原先數字處理部分由單片機和可編程邏輯器件(CPLD)組成的設計方案,轉而用具有高運算能力和高拓展性能的DSP芯片和CPLD來提升讀寫器的性能,這樣不僅可以使RFID讀寫系統具備更高的運算處理能力以及更可靠的數據安全性能,而且可以提高系統的防碰撞性能并可同時識別更多的射頻卡。
為確保所研制的RFID識別系統的性能逐步提升并保持較為先進的國內水平,確立下一步以數字處理核心模塊的研究作為重點,研究和開發以DSP為主體的射頻識別讀寫器(13.56MHz),擬定如下新一代研發計劃。
①采用DSP芯片替代單片機,完成單片機的工作,并配合CPLD芯片實現防碰撞算法。
②使用一片CPLD代替原有的2個CPLD,完成編碼、解碼和差錯控制工作。
③摒棄原電路設計采用的元器件的插裝工藝,利用表貼技術開發RFID核心模塊,以提高整個系統的組裝密度,縮小產品體積,減輕重量,提高系統的可靠性和抗振能力。
④優化讀寫器性能,在不增大發射功率的前提下,增加讀寫距離。
圖4是目前正在研發的新一代射頻識別系統數字處理核心模塊原理框圖。

圖4RFID系統數字處理核心模塊原理框圖
作為取得自主知識產權的重要因素,數字處理核心模塊化的研究和設計是RFID技術應用研究的重心所在,圍繞這個重心,本文討論了在防碰撞算法、數據加密糾錯技術以及模塊化研發上取得的突破,應用結果表明,這些關鍵技術完全可以滿足應用,且對RFID系統研發具有重要的借鑒意義。