誰需要網狀網絡?為什么Cy-Net更適合無線抄表?
當今半導體行業系統成本不斷降低,以及技術越來越集成,使得嵌入式射頻網絡的應用無處不在。這其中又以ZigBee標準的宣傳最為廣泛,導致了許多設計工程師的印象中ZigBee成為了系統的理想解決方案。然而,對于大多數系統而言,事實并非如此。
無論應用程序是用在無線超表,環境控制或者是高層公寓的門禁系統,所面臨的挑戰總是集中在收集和直接控制遠程節點上。對于這樣的系統來說,嵌入式系統的挑戰可以被簡化為尋找一種連接所需資源和接受器的適宜方法。不過這個最佳方法可能涉及許多功能,包括環境,電源,路由時間,魯棒性或者QoS(服務質量)等等,而且幾乎每個系統的要求都不同。
這和容易使工程師立即想到ZigBee的優點,但是同時他們可能忽略了一個很重要的問題-復雜程度。對于絕大多數系統來說,ZigBee解決方案復雜程度太高,在導致系統性能、穩定性和成本問題同時,通常還需要額外努力來達到規格的嚴格標準。很多時候這種系統所需要的網絡能力是非常低的。這種情況下,采用一種特定標準的包含許多無需功能的嵌入式網絡只能增加開發的時間。因為它不具有與其它廠商的系統之間的良好協調性,在許多任務業系統中使用這種標準的策略常常出現問題。
網狀網絡的冗余特性使得它在網絡魯棒性上具有很大的優點。如果網絡內的一個節點損壞,另外一條路徑將自動被選擇(假設網絡有足夠的密度,允許另一條路徑)。對相對短距離(100米)的2.4GHz ZigBee來說,這將大幅增加工業網絡的平均成本,這種網絡的終端節點往往離服務器幾百米遠。在一個鏈接上擁有多個結點不但增加了路由時間,限制了數據傳輸速度,而且在高頻譜范圍使用區域使用高密度網絡也會大大增加傳輸時間。而ISM頻段解決方案擁有更好的傳輸范圍,頻段使用,電源要求,從而減少網絡密度,提高網絡可靠性,減少成本。
專用網絡提供了一個除了網狀網絡以外的另一個不錯選擇,但是完整的協議占開發非常的專業,是一個艱巨的任務。其實這樣的應用程序并不用給工程師增加負擔,具有完整文檔的解決方案已經存在,它具有下列特性:層次清晰的協議棧結構,類似于AT命令集的接口工具,硬件參考設計和可以直接用于生產的模塊。因為不需要任何認證,這個解決方案可以在測試階段后立即應用。使用該解決方案,可以在短時間內按客戶需求配置一個專用網絡,而不是像ZigBee那樣還需要認證。通過客戶定制,專用固件堆棧能完整優化系統,例如它的低功耗遠遠超出了ZigBee解決方案所能達到的范圍。
表1 無線技術的對比

* ZigBee 目標在 12到18個月內提供對 915/868 MHz 工業頻段的支持
相對于賽恩的RF-Solved專用網絡解決方案,ZigBee解決方案更適合于任何節點在任何時間都可以互相通信的專用網絡,而不是工業網絡。可配置的ISM頻段的專業解決方案可以用最少的資源提供最佳的系統,而且應該被認為是嵌入式無線網絡的最佳解決方案。表1列出了當前幾種無線技術的對比。

圖1 AMR系統需求
嵌入式射頻網絡逐漸成為了自動抄表(AMR)的標準。對于AMR系統來說最重要的參數是魯棒性,有效地系統數據的傳輸必須得到保障。為了最大化系統的魯棒性,限制復雜性和干擾非常的重要。遠程抄表的系統需求如圖1所示。
專門針對無線抄表需要簡單的解決方案,賽恩的Cy-Net ah-hoc射頻協議棧集合了保證網絡系統魯棒性的所有特性。該射頻協議棧使用低ISM頻段,避免了2.4GHz頻段的通常問題,而且可以不需要認證就可以立即配置。
除此之外,賽恩還提供了一系列的適用各種方案的微控制器,其中包括簡單的低成本數據采集節點或者是具有USB或局域網功能的數據集結點。再加上功能齊全和強大的開發工具,使得快速定制系統成為了可能。賽恩提供了全程解決方案,可以完成高速、簡單、強勁的無線抄表系統設計。
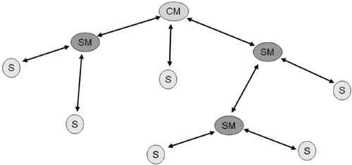
賽恩Cy-Net結構
賽恩Cy-Net結構示于圖2。

圖2 賽恩Cy-Net結構
有效通訊路徑
CM = 中央主節點
SM = 次節點
S = 從節點
賽恩Cyan Cy-Net性能
賽恩Cy-Net機構下列支持:
* 靜態多級簇型網絡;
* 軟件擴展和應用程序接口;
* 可靠傳輸和非可靠傳輸;
* 各應用程序之間通過端口通訊;
* 自動組網 (使用基于名稱的尋址);
* 網絡自動修復能力。
自動組網功能
每個節點只能與其它的一個節點協商:
* 用來作為一個連接點
* 用預定義的組網規則來選擇
軟件自定義自動組網規則:
* 最短路徑
* 最高信號強度
* 最佳上行鏈路
* 最少網絡流量
* 具體節點特性
組網規則可以調整以優化執行。
組網規則可以重新配置以優化網絡。
自動修復功能
自動修復功能可以被自動喚醒。
自動修復功能可被下列參數喚醒:
* 網絡無活動期間
* 傳輸失敗
* 無主節點信標
* 每間隔一段時間可用于動態重分布網絡
* 保證節點可以和主節點通訊
為什么在遠程抄表中使用Cy-Net?
CY-Net樹形網絡拓撲適合遠程抄表,其特點是:
* 一個數據收集點 – 中央主節點;
* 多個讀表單元 – 從節點;
* 任意從節點都可以重復數據,擴展網絡 – 次節點自動組網/自動修復;
* 無需配置節點;
* 可動態增加/刪除節點;
* 可容忍干擾/故障低功耗;
* 可合并使用電池的設備;
* 具體網絡的節能機制延長了電池壽命。