智能化停車場管理體系研究
作者:周嗣恩 韓鳳春
來源:中國一卡通網
日期:2009-01-14 16:42:32
摘要:針對目前國內外智能化停車場管理研究的不足之處以及解決停車問題的迫切需要,在信息采集技術、數據庫技術、觸摸屏顯示技術、計算機與網絡傳輸技術等的支撐下,以車輛停車期間安全度高、采集信息兼容性好、系統集成性強為出發點,并兼顧系統的可能性與可行性,提出了“停車收費+泊位引導+停車誘導” 一體化的智能化停車場管理體系研究方案。
0 引言
隨著社會經濟的發展,機動車擁有量迅速增長,居民乘小汽車出行的次數增多,許多城市“停車難、難停車” 的問題日漸顯著,供需緊張、亂收費、違章停車、進出停車場不易、尋找停車場困難等現象普遍存在,影響了城市景觀,更影響著與動態交通的和諧發展。不僅如此,目前大部分城市的停車設施大多量上不足,質上簡陋。許多停車場內的停車標志、停車泊位線、導向箭頭、減速墊、車輛誘導標志等停車管理設施嚴重短缺。自動收費設備缺乏,亂收費現象嚴重;泊位引導系統不完善,駕駛人停車取車困難;停車誘導信息缺乏,駕駛人尋找可利用的停車泊位比較困難。部分停車場甚至只管停車收費,而根本不管車輛停放期間的安全,一旦丟失,把責任推卸得一干二凈。這都在一定程度上導致了車主放棄停車場,而在路旁、單位門前等空地亂停亂放,違章停車現象嚴重,停車場利用率較低。
要緩解或解決停車難題,首先需要在停車場法規規章的約束和保障下,根據城市經濟、人口、面積、道路狀況、功能分區、車輛擁有量等因素進行系統的、科學的停車場規劃;其次要根據停車場規劃、車流運行特性和道路網布局,進行路外停車場和路內停車場的配置與建設;在停車規劃與配置建設完成之后,需要進行合理完善的停車場管理。而經國內外實踐表明單純依靠停車場的供應無法滿足日益增長的停車需求,加上目前我國城市停車泊位“絕對不足”與“相對過剩” 的矛盾現象普遍存在,停車場的智能化科學管理就顯得尤為重要。
據北京工業大學交通工程實驗室在北京西單地區的有關調查結果顯示見圖1,假如設置了停車誘導系統(Parking Guidance Information System,PGIS),92% 的被訪者表示會利用PGIS。這就說明如果PGIS設置的科學并且合理,是很有可能會收到明顯效果的,從而為設置PGIS提供了可能性和可行性。而據新華信咨詢公司在停車費對消費者汽車生活的影響調查中顯示,71.9%的有車族認為目前停車場只管收費缺乏管理,有31.7%的有車族認為停車管理員亂收費,52.1%的有車族認為停車秩序混亂,這些為進行智能化停車管理體系研究提供了現實基礎。
進行停車場智能化管理的意義在于:規范停車秩序,與動態交通和諧發展;避免亂收費現象,提高停車收費的可信度;提高停車管理人員的工作效率,減輕工作人員的勞動強度;擴充停車信息的可利用形式以及范圍,提高停車泊位利用率;提高找尋停車位的便利性,減輕交通污染;保障車輛安全出入停車場以及停車期間的安全,減少損失;停車泊位引導系統的采用,減少了車主進入停車場后尋找停車位的時間。
目前國內外大多是針對某一方面的研究,例如停車誘導系統,停車收費系統等,取得了良好的效果,為智能化停車場管理體系的研究提供了理論與實踐基礎。
早在1971年,在德國的亞琛市就建立了停車誘導系統。這也被認為是世界上最早的停車誘導系統。該系統對市內的12處停車場在主要的交叉路口設置了光電顯示的停車場誘導標志,截至1980年控制對象增加到了40處,誘導標志由遠距離控制,促進了現有停車場的有效利用。日本于1973年在柏市建立了日本最早的停車誘導系統。所提供的信息以停車場的使用狀況、車位數以及停車場的位置等為主。日本的停車誘導信息發布系統集成在日本警察廳開展的UTMS(Universal Traffic Management System)項目中,通過UTMS的交通管理綜合集成系統發布停車誘導信息。日本采用區域、主要路口、停車場內三級引導電子顯示牌,顯示停車場在區域中的位置,停車場的行車方向和是否有空車位的信息。大約同一時期在法國、英國、瑞士等國也相繼建立了類似的系統。
北京于2001年起先后在王府井、北京站以及西單等地區建立了停車誘導系統。上海于2002年起在黃浦區建立了“停車誘導系統示范” 工程,整個工程共有36處、64塊停車誘導發布牌,覆蓋了整個黃浦區中心區域,包括39個對外開放停車庫的5900多個車位,對停車難的解決起到了一定的輔助作用。近年來,廣州、沈陽、太原、青島等城市相繼建立了停車誘導系統,取得了一定的效果。
2 目前研究的不足之處
2.1 單一模塊的研究,缺乏系統化
目前,停車場的智能化管理體系大多是基于單一模塊的,停車收費系統、泊位引導系統、停車信息誘導系統等在理論研究和實踐應用中大都是孤立的,缺乏有效的系統集成,雖然起到了一定程度的緩解停車難的作用,但其效能沒有得到充分的利用。例如停車者利用方便的停車信息找到了停車位,但進入停車場泊車困難、車輛停車期問的安全性不高、停車交費置信度不高等因素制約了停車信息的收益。
2.2 采集數據的兼容性差
如上所述,智能化停車場管理體系缺乏系統化,對于單一模塊,需要信息的采集方式有多種,管理和研究開發機構往往從本模塊的最小成本考慮,對適應系統未來發展需要的采集信息的兼容性重視程度不夠。如停車信息誘導系統的信息采集可以用環形線圈技術、超聲波技術、圖像識別技術等,但從成本最小化、精確度高的角度考慮,環形線圈是最佳選擇,但環形線圈所采集到的信息對于不停車收費系統來說,又具有一定的局限性。往往需要附加的信息采集系統或換取新的信息采集系統,造成資源的浪費,成本的提高。
2.3 車主與停車車輛的關聯沒有保障
對于目前的大部分系統來說,車輛進入停車場停放后,車主信息與停車車輛往往失去了關聯,這對于車輛停放期間的安全是極為不利的,如盜取他人的車輛等。停車專用條形碼信息和用戶密碼設置相結合的方式保證了車主身份與停車車輛的關系確認。
本文提出的智能化停車場管理體系研究方案能夠有效地克服以上不足,是切實可行的。單個停車場管理中心通過環形線圈技術、RFID技術和通訊技術實現停放車輛信息的采集以及車輛與車主的關聯,從而實現自動收費及確保車輛停放期間的安全,并向區域停車場及時更新本停車場的停車信息,區域管理中心把各個停車場的停車信息歸類整理后通過多種形式向公眾發布。
3 智能化停車場管理體系相關技術
3.1 信息采集技術
3.1.1 車型識別技術
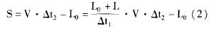
車主在辦理停車專用條形碼時,已將車型信息輸入到條形碼中,但是為防止大型車利用小型車的條形碼,以小型車的費用繳費這種現象的發生,需要進行車型的識別,以保證實際停放車輛的類型與條形碼中車輛類型信息的一致性。通過兩個環形線圈檢測車長的方法來進行車輛的簡易識別,見圖2。設車長s>( L。+L),當一輛車車頭駛入線圈L1,時,此路檢測通道產生一個高電平信號,單片機或微型計算機檢測到后,即啟動計時器開始計時。當車頭進入L2線圈時,線圈L2也檢測輸出一個高電平信號,單片機或微型計算機檢測到后,啟動計時器開始計時。設車輛從L1,到L2。所需時間為△t1,,根據這個時間間隔以兩線圈的間距(L。+L)可以計算出這輛車的行駛速度V,公式為:
確定車輛類型時,首先以車種為基礎,找出各種主要車型的特征車長,然后以這些特征車長確定車型分類檔次。按此原理將車型分為以下三類:小型車2.5~4m,中型車4~6m,大型車6~8m,供自動收費系統采用。
3.1.2 無線射頻識別技術
無線射頻識別技術RFID (Radio Frequency Identification),是非接觸式條形碼自動識別技術的一種,用于識別貼在汽車玻璃鏡上的停車專用條形碼(bar code)信息,從而實現自動收費的信息采集。
RFID可以完成對標簽內容的自動識讀。傳統的條形碼技術是利用光電效應,利用條碼閱讀器將光信號轉換成電信號,進而讀出條形碼所“儲存” 的信息,常被稱為“近視眼”,它只有在足夠靠近條形碼識別器的時候,才可以被“認” 出來。而RFID標簽則不同,它可以不斷地主動或者被動地發射無線電波,只要處于RFID閱讀器的接收范圍之內,就可以被“感應”并且正確地識別出來。閱讀器的收發距離可長可短,根據它本身的輸出功率和使用頻率的不同,從幾厘米到幾十米不等。
此外,RFID還具有使用壽命長、安全性高、對環境要求低等優點。RFID標簽的壽命最高可以達到10年以上,其擁有條形碼所不具備的防水、防磁、耐高溫等性能;在遇到雪、霧、冰、各種污跡等惡劣的工作環境下,傳統條形碼的光學識別技術將會失效。而RFID依然可以正常地工作。據國外有關研究表明,RFID技術的準確率可達到99.7% 。
3.1.3 停車專用移動電話
停車期間車輛的安全問題是困擾停車場發展的難題,采用RFID技術提高了停車收費系統的效率,但卻沒有提高停車安全性。為此,我們可以結合移動電話技術,當車輛在進出停車場時,車主通過專用的移動電話把預先設定好的停車條形碼號碼以及對應的密碼通過短信的方式告知停車場管理中心計算機,與RFID得到的條形碼信息一致,方能停車、交納停車費用以及離開停車場,否則,停車場的自動門關閉,這樣就實現了車主身份與停車車輛的關系確認,有效地保障了車輛的安全。
3.2 Oracle數據庫技術
Oracle數據庫管理系統是20世紀70年代最早的關系數據庫系統。它具有完整的數據管理功能,包括存儲大量數據(可達到8TB)、定義和操作數據、并發控制、安全性控制、完整性控制、故障恢復、與高級語言接口的通用性等。此系統使用PL/SQL語言執行各種操作,具有可開放性、可移植性、靈活性等特點,在Oracle上所開發的應用可移植到任何操作系統,只需很少修改或不需要修改并可連續24小時工作。故本系統宜采用Oracle數據庫來存儲相關停車信息。
3.3 觸摸屏顯示技術
停車場的門除進出車輛外是關閉的,當車主存完車后以及取車時,在停車場門旁的連接管理中心計算機的觸摸屏上輸入停車泊位號和停車條形碼密碼,如果和系統存儲的信息一致,停車門打開,車主離開或取車,否則,通過報警電話與管理中心協商解決。
4 智能化停車場管理體系結構
4.1 系統總體機構及工作原理
系統總體結構見圖3,為分層管理和集中管理相結合,即區域內單個停車場的管理以及區域內所有停車場的管理相結合。其中包含停車收費系統、泊位引導系統、停車監控系統等,而信息采集系統、停車收費系統、管理中心、發布系統則是停車信息誘導系統的總體架構。
當區域內車輛根據停車信息選擇停車場i,在到達停車場i時,通過信息采集系統實現與停車場i管理中心計算機的連接,管理中心i一方面自動記錄車輛信息、停車泊位信息以及停車時刻信息,并啟動泊位引導系統;另一方面向區域管理中心i實時更新當前停車場的停車信息。車輛停放后,停車監控系統實時監控車輛的動態,保障車輛停放期間的安全。車主取車駛離停車場時,在出口同樣通過信息采集系統實現與管理中心的連接,此時,管理中心i自動記錄停車離開時刻、自動計算停車費用并從車主賬戶中自動扣除,同時及時向區域管理中心i更新停車信息。車主遇到麻煩或需要幫助可以通過報警系統或移動電話向管理中心求救。區域管理中心通過信息發布系統向公眾及時發布停車信息。
當車輛在距停車場i一定距離(150~200m)時,車主將預先設定好的停車專用條形碼號碼和密碼組合用專用的移動電話通過短信發送到停車場管理中心計算機;如發覺發送錯誤,可以重新發送,停車場i管理中心以最后收到的信息為準。車輛在引道上繼續行進過程中,通過埋在地面下的環形線圈檢測車輛類型。在距離停車場門更近時,通過RFID技術識別貼在汽車玻璃鏡上的停車專用條形碼,如果與用戶事先發送到管理中心的條形碼一致、檢測車輛類型與條形碼中車輛類型信息一致并且密碼正確,分配停車位,車庫門打開,中心計算機自動記錄停車條形碼、泊位號、停車時刻、車輛類型等信息,同時啟動泊位引導系統并向區域管理中心及時更新停車信息。否則,通過擴音器或可變信息板提示用戶重新輸人條形碼號碼和密碼,如果還不一致通過報警電話和管理中心聯系。
車主要進人停車場取車時,在門口的觸摸屏顯示器上輸人停車泊位號和條形碼密碼,一致的話車門打開,并啟動泊位引導系統,否則重新輸人或與管理中心聯系。
車主要駕駛車輛離開時,車主發送停車專用條形碼號碼和密碼,并通過RFID技術識別條形碼,若信息一致,中心計算機記錄車輛離開時刻,計算停車時間以及停車費用,通過滾動顯示屏告知車主,并且向區域管理中心更新停車信息;如不一致,提示重新輸人或通過報警電話與管理中心聯系。
當系統啟用泊位引導系統后,滾動顯示屏顯示停車場內泊位路線圖,分配到的停車泊位以及最短行車路線以閃光的形式顯示,同時泊位處上方的閃光警告燈開始工作,駕駛人根據停車場內的指示標志和標線,以及閃光警告燈的引導信息,順利到達停車位,泊位處的監控系統監視到車輛到達或離開時,泊位引導系統自動關閉。
4.3 停車信息誘導子系統
利用停車場i管理中心停車收費系統采集到的停車信息作為停車信息誘導系統的信息采集系統,區域管理中心將收到的各停車場以及區域內咪表停車位的停車信息歸類整理,通過廣播、互聯網、公共電話、移動電話服務或誘導顯示屏及時向公眾發布停車信息,但形象直觀、效率相對較高的信息發布形式是停車誘導顯示屏,常見的停車誘導顯示屏為三級誘導的思路。
一級誘導顯示屏(大屏):設置在區域主要交通干線上,發布多個停車場(庫)的名稱、位置、實際車位狀態的顯示裝置,見圖4~a。
二級誘導顯示屏(中屏):設置在停車場(庫)周邊區域的街道兩旁,發布停車場(庫)的名稱、行駛路線、實際車位狀態信息的顯示裝置, 見圖4~b。
三級誘導顯示屏(小屏):設置在停車場(庫)
人口附近,發布單個停車場(庫)的名稱、實際車位狀態以及其他規定信息的顯示裝置,見圖4~c。
4.4 信息傳輸系統
通信傳輸的基本任務是保證“信息流”在特定的傳媒中暢通,做到快速、及時準確。系統的信息傳輸包含三個部分:采集的基本信息到停車場i管理中心的傳輸;停車場i管理中心向區域管理中心的傳輸;區域管理中心向信息發布系統的傳輸。而信息傳送根據傳送方式的不同可分為有線和無線兩種。有線傳送可以通過專用雙絞線同軸電纜、光纖等,也可以通過電話線、有線電視傳輸線等。在選擇時要考慮到傳輸距離和成本、空間限制、環境等。無線傳送是通過微波、紅外線(專用信號傳送)或中長波(普通廣播信號)傳送信息。
5 結語
停車問題是一個復雜的社會問題,停車難題的解決需要公眾的參與與積極配合,停車者、停車場經營者以及停車場管理者的通力合作才能達到和諧交通、和諧發展的良好局面,而智能化的管理為這種良好停車秩序的形成提供了有效途徑。但是,我國目前停車場的建設與投資大都是政府投資,往往是杯水車薪,因此采取優惠政策,鼓勵市民積極參與停車場的投資與建設,采用智能化的停車場管理技術,逐漸解決停車難題,有很強的現實意義。
(中國人民公安大學研究生部,中國人民公安大學交通管理工程系,周嗣恩 ,韓鳳春)
隨著社會經濟的發展,機動車擁有量迅速增長,居民乘小汽車出行的次數增多,許多城市“停車難、難停車” 的問題日漸顯著,供需緊張、亂收費、違章停車、進出停車場不易、尋找停車場困難等現象普遍存在,影響了城市景觀,更影響著與動態交通的和諧發展。不僅如此,目前大部分城市的停車設施大多量上不足,質上簡陋。許多停車場內的停車標志、停車泊位線、導向箭頭、減速墊、車輛誘導標志等停車管理設施嚴重短缺。自動收費設備缺乏,亂收費現象嚴重;泊位引導系統不完善,駕駛人停車取車困難;停車誘導信息缺乏,駕駛人尋找可利用的停車泊位比較困難。部分停車場甚至只管停車收費,而根本不管車輛停放期間的安全,一旦丟失,把責任推卸得一干二凈。這都在一定程度上導致了車主放棄停車場,而在路旁、單位門前等空地亂停亂放,違章停車現象嚴重,停車場利用率較低。
要緩解或解決停車難題,首先需要在停車場法規規章的約束和保障下,根據城市經濟、人口、面積、道路狀況、功能分區、車輛擁有量等因素進行系統的、科學的停車場規劃;其次要根據停車場規劃、車流運行特性和道路網布局,進行路外停車場和路內停車場的配置與建設;在停車規劃與配置建設完成之后,需要進行合理完善的停車場管理。而經國內外實踐表明單純依靠停車場的供應無法滿足日益增長的停車需求,加上目前我國城市停車泊位“絕對不足”與“相對過剩” 的矛盾現象普遍存在,停車場的智能化科學管理就顯得尤為重要。
據北京工業大學交通工程實驗室在北京西單地區的有關調查結果顯示見圖1,假如設置了停車誘導系統(Parking Guidance Information System,PGIS),92% 的被訪者表示會利用PGIS。這就說明如果PGIS設置的科學并且合理,是很有可能會收到明顯效果的,從而為設置PGIS提供了可能性和可行性。而據新華信咨詢公司在停車費對消費者汽車生活的影響調查中顯示,71.9%的有車族認為目前停車場只管收費缺乏管理,有31.7%的有車族認為停車管理員亂收費,52.1%的有車族認為停車秩序混亂,這些為進行智能化停車管理體系研究提供了現實基礎。
進行停車場智能化管理的意義在于:規范停車秩序,與動態交通和諧發展;避免亂收費現象,提高停車收費的可信度;提高停車管理人員的工作效率,減輕工作人員的勞動強度;擴充停車信息的可利用形式以及范圍,提高停車泊位利用率;提高找尋停車位的便利性,減輕交通污染;保障車輛安全出入停車場以及停車期間的安全,減少損失;停車泊位引導系統的采用,減少了車主進入停車場后尋找停車位的時間。

圖1 使用PGIS的意向
目前國內外大多是針對某一方面的研究,例如停車誘導系統,停車收費系統等,取得了良好的效果,為智能化停車場管理體系的研究提供了理論與實踐基礎。
早在1971年,在德國的亞琛市就建立了停車誘導系統。這也被認為是世界上最早的停車誘導系統。該系統對市內的12處停車場在主要的交叉路口設置了光電顯示的停車場誘導標志,截至1980年控制對象增加到了40處,誘導標志由遠距離控制,促進了現有停車場的有效利用。日本于1973年在柏市建立了日本最早的停車誘導系統。所提供的信息以停車場的使用狀況、車位數以及停車場的位置等為主。日本的停車誘導信息發布系統集成在日本警察廳開展的UTMS(Universal Traffic Management System)項目中,通過UTMS的交通管理綜合集成系統發布停車誘導信息。日本采用區域、主要路口、停車場內三級引導電子顯示牌,顯示停車場在區域中的位置,停車場的行車方向和是否有空車位的信息。大約同一時期在法國、英國、瑞士等國也相繼建立了類似的系統。
北京于2001年起先后在王府井、北京站以及西單等地區建立了停車誘導系統。上海于2002年起在黃浦區建立了“停車誘導系統示范” 工程,整個工程共有36處、64塊停車誘導發布牌,覆蓋了整個黃浦區中心區域,包括39個對外開放停車庫的5900多個車位,對停車難的解決起到了一定的輔助作用。近年來,廣州、沈陽、太原、青島等城市相繼建立了停車誘導系統,取得了一定的效果。
2 目前研究的不足之處
2.1 單一模塊的研究,缺乏系統化
目前,停車場的智能化管理體系大多是基于單一模塊的,停車收費系統、泊位引導系統、停車信息誘導系統等在理論研究和實踐應用中大都是孤立的,缺乏有效的系統集成,雖然起到了一定程度的緩解停車難的作用,但其效能沒有得到充分的利用。例如停車者利用方便的停車信息找到了停車位,但進入停車場泊車困難、車輛停車期問的安全性不高、停車交費置信度不高等因素制約了停車信息的收益。
2.2 采集數據的兼容性差
如上所述,智能化停車場管理體系缺乏系統化,對于單一模塊,需要信息的采集方式有多種,管理和研究開發機構往往從本模塊的最小成本考慮,對適應系統未來發展需要的采集信息的兼容性重視程度不夠。如停車信息誘導系統的信息采集可以用環形線圈技術、超聲波技術、圖像識別技術等,但從成本最小化、精確度高的角度考慮,環形線圈是最佳選擇,但環形線圈所采集到的信息對于不停車收費系統來說,又具有一定的局限性。往往需要附加的信息采集系統或換取新的信息采集系統,造成資源的浪費,成本的提高。
2.3 車主與停車車輛的關聯沒有保障
對于目前的大部分系統來說,車輛進入停車場停放后,車主信息與停車車輛往往失去了關聯,這對于車輛停放期間的安全是極為不利的,如盜取他人的車輛等。停車專用條形碼信息和用戶密碼設置相結合的方式保證了車主身份與停車車輛的關系確認。
本文提出的智能化停車場管理體系研究方案能夠有效地克服以上不足,是切實可行的。單個停車場管理中心通過環形線圈技術、RFID技術和通訊技術實現停放車輛信息的采集以及車輛與車主的關聯,從而實現自動收費及確保車輛停放期間的安全,并向區域停車場及時更新本停車場的停車信息,區域管理中心把各個停車場的停車信息歸類整理后通過多種形式向公眾發布。
3 智能化停車場管理體系相關技術
3.1 信息采集技術
3.1.1 車型識別技術
車主在辦理停車專用條形碼時,已將車型信息輸入到條形碼中,但是為防止大型車利用小型車的條形碼,以小型車的費用繳費這種現象的發生,需要進行車型的識別,以保證實際停放車輛的類型與條形碼中車輛類型信息的一致性。通過兩個環形線圈檢測車長的方法來進行車輛的簡易識別,見圖2。設車長s>( L。+L),當一輛車車頭駛入線圈L1,時,此路檢測通道產生一個高電平信號,單片機或微型計算機檢測到后,即啟動計時器開始計時。當車頭進入L2線圈時,線圈L2也檢測輸出一個高電平信號,單片機或微型計算機檢測到后,啟動計時器開始計時。設車輛從L1,到L2。所需時間為△t1,,根據這個時間間隔以兩線圈的間距(L。+L)可以計算出這輛車的行駛速度V,公式為:

圖2 環形線圈布置圖

確定車輛類型時,首先以車種為基礎,找出各種主要車型的特征車長,然后以這些特征車長確定車型分類檔次。按此原理將車型分為以下三類:小型車2.5~4m,中型車4~6m,大型車6~8m,供自動收費系統采用。
3.1.2 無線射頻識別技術
無線射頻識別技術RFID (Radio Frequency Identification),是非接觸式條形碼自動識別技術的一種,用于識別貼在汽車玻璃鏡上的停車專用條形碼(bar code)信息,從而實現自動收費的信息采集。
RFID可以完成對標簽內容的自動識讀。傳統的條形碼技術是利用光電效應,利用條碼閱讀器將光信號轉換成電信號,進而讀出條形碼所“儲存” 的信息,常被稱為“近視眼”,它只有在足夠靠近條形碼識別器的時候,才可以被“認” 出來。而RFID標簽則不同,它可以不斷地主動或者被動地發射無線電波,只要處于RFID閱讀器的接收范圍之內,就可以被“感應”并且正確地識別出來。閱讀器的收發距離可長可短,根據它本身的輸出功率和使用頻率的不同,從幾厘米到幾十米不等。
此外,RFID還具有使用壽命長、安全性高、對環境要求低等優點。RFID標簽的壽命最高可以達到10年以上,其擁有條形碼所不具備的防水、防磁、耐高溫等性能;在遇到雪、霧、冰、各種污跡等惡劣的工作環境下,傳統條形碼的光學識別技術將會失效。而RFID依然可以正常地工作。據國外有關研究表明,RFID技術的準確率可達到99.7% 。
3.1.3 停車專用移動電話
停車期間車輛的安全問題是困擾停車場發展的難題,采用RFID技術提高了停車收費系統的效率,但卻沒有提高停車安全性。為此,我們可以結合移動電話技術,當車輛在進出停車場時,車主通過專用的移動電話把預先設定好的停車條形碼號碼以及對應的密碼通過短信的方式告知停車場管理中心計算機,與RFID得到的條形碼信息一致,方能停車、交納停車費用以及離開停車場,否則,停車場的自動門關閉,這樣就實現了車主身份與停車車輛的關系確認,有效地保障了車輛的安全。
3.2 Oracle數據庫技術
Oracle數據庫管理系統是20世紀70年代最早的關系數據庫系統。它具有完整的數據管理功能,包括存儲大量數據(可達到8TB)、定義和操作數據、并發控制、安全性控制、完整性控制、故障恢復、與高級語言接口的通用性等。此系統使用PL/SQL語言執行各種操作,具有可開放性、可移植性、靈活性等特點,在Oracle上所開發的應用可移植到任何操作系統,只需很少修改或不需要修改并可連續24小時工作。故本系統宜采用Oracle數據庫來存儲相關停車信息。
3.3 觸摸屏顯示技術
停車場的門除進出車輛外是關閉的,當車主存完車后以及取車時,在停車場門旁的連接管理中心計算機的觸摸屏上輸入停車泊位號和停車條形碼密碼,如果和系統存儲的信息一致,停車門打開,車主離開或取車,否則,通過報警電話與管理中心協商解決。
4 智能化停車場管理體系結構
4.1 系統總體機構及工作原理
系統總體結構見圖3,為分層管理和集中管理相結合,即區域內單個停車場的管理以及區域內所有停車場的管理相結合。其中包含停車收費系統、泊位引導系統、停車監控系統等,而信息采集系統、停車收費系統、管理中心、發布系統則是停車信息誘導系統的總體架構。
當區域內車輛根據停車信息選擇停車場i,在到達停車場i時,通過信息采集系統實現與停車場i管理中心計算機的連接,管理中心i一方面自動記錄車輛信息、停車泊位信息以及停車時刻信息,并啟動泊位引導系統;另一方面向區域管理中心i實時更新當前停車場的停車信息。車輛停放后,停車監控系統實時監控車輛的動態,保障車輛停放期間的安全。車主取車駛離停車場時,在出口同樣通過信息采集系統實現與管理中心的連接,此時,管理中心i自動記錄停車離開時刻、自動計算停車費用并從車主賬戶中自動扣除,同時及時向區域管理中心i更新停車信息。車主遇到麻煩或需要幫助可以通過報警系統或移動電話向管理中心求救。區域管理中心通過信息發布系統向公眾及時發布停車信息。

圖3 系統總體結構
當車輛在距停車場i一定距離(150~200m)時,車主將預先設定好的停車專用條形碼號碼和密碼組合用專用的移動電話通過短信發送到停車場管理中心計算機;如發覺發送錯誤,可以重新發送,停車場i管理中心以最后收到的信息為準。車輛在引道上繼續行進過程中,通過埋在地面下的環形線圈檢測車輛類型。在距離停車場門更近時,通過RFID技術識別貼在汽車玻璃鏡上的停車專用條形碼,如果與用戶事先發送到管理中心的條形碼一致、檢測車輛類型與條形碼中車輛類型信息一致并且密碼正確,分配停車位,車庫門打開,中心計算機自動記錄停車條形碼、泊位號、停車時刻、車輛類型等信息,同時啟動泊位引導系統并向區域管理中心及時更新停車信息。否則,通過擴音器或可變信息板提示用戶重新輸人條形碼號碼和密碼,如果還不一致通過報警電話和管理中心聯系。
車主要進人停車場取車時,在門口的觸摸屏顯示器上輸人停車泊位號和條形碼密碼,一致的話車門打開,并啟動泊位引導系統,否則重新輸人或與管理中心聯系。
車主要駕駛車輛離開時,車主發送停車專用條形碼號碼和密碼,并通過RFID技術識別條形碼,若信息一致,中心計算機記錄車輛離開時刻,計算停車時間以及停車費用,通過滾動顯示屏告知車主,并且向區域管理中心更新停車信息;如不一致,提示重新輸人或通過報警電話與管理中心聯系。
當系統啟用泊位引導系統后,滾動顯示屏顯示停車場內泊位路線圖,分配到的停車泊位以及最短行車路線以閃光的形式顯示,同時泊位處上方的閃光警告燈開始工作,駕駛人根據停車場內的指示標志和標線,以及閃光警告燈的引導信息,順利到達停車位,泊位處的監控系統監視到車輛到達或離開時,泊位引導系統自動關閉。
4.3 停車信息誘導子系統
利用停車場i管理中心停車收費系統采集到的停車信息作為停車信息誘導系統的信息采集系統,區域管理中心將收到的各停車場以及區域內咪表停車位的停車信息歸類整理,通過廣播、互聯網、公共電話、移動電話服務或誘導顯示屏及時向公眾發布停車信息,但形象直觀、效率相對較高的信息發布形式是停車誘導顯示屏,常見的停車誘導顯示屏為三級誘導的思路。
一級誘導顯示屏(大屏):設置在區域主要交通干線上,發布多個停車場(庫)的名稱、位置、實際車位狀態的顯示裝置,見圖4~a。
二級誘導顯示屏(中屏):設置在停車場(庫)周邊區域的街道兩旁,發布停車場(庫)的名稱、行駛路線、實際車位狀態信息的顯示裝置, 見圖4~b。
三級誘導顯示屏(小屏):設置在停車場(庫)
人口附近,發布單個停車場(庫)的名稱、實際車位狀態以及其他規定信息的顯示裝置,見圖4~c。

圖4 LED誘導顯示屏
4.4 信息傳輸系統
通信傳輸的基本任務是保證“信息流”在特定的傳媒中暢通,做到快速、及時準確。系統的信息傳輸包含三個部分:采集的基本信息到停車場i管理中心的傳輸;停車場i管理中心向區域管理中心的傳輸;區域管理中心向信息發布系統的傳輸。而信息傳送根據傳送方式的不同可分為有線和無線兩種。有線傳送可以通過專用雙絞線同軸電纜、光纖等,也可以通過電話線、有線電視傳輸線等。在選擇時要考慮到傳輸距離和成本、空間限制、環境等。無線傳送是通過微波、紅外線(專用信號傳送)或中長波(普通廣播信號)傳送信息。
5 結語
停車問題是一個復雜的社會問題,停車難題的解決需要公眾的參與與積極配合,停車者、停車場經營者以及停車場管理者的通力合作才能達到和諧交通、和諧發展的良好局面,而智能化的管理為這種良好停車秩序的形成提供了有效途徑。但是,我國目前停車場的建設與投資大都是政府投資,往往是杯水車薪,因此采取優惠政策,鼓勵市民積極參與停車場的投資與建設,采用智能化的停車場管理技術,逐漸解決停車難題,有很強的現實意義。
(中國人民公安大學研究生部,中國人民公安大學交通管理工程系,周嗣恩 ,韓鳳春)