基于 ALOHA 算法的 RFID 防碰撞技術研究
作者:RFID世界網 收編
來源:慧聰網
日期:2009-11-06 09:57:45
摘要:RFID系統工作時,當有2個或2個以上的電子標簽同時在同一個讀寫器的作用范圍內向讀寫器發送數據的時候,就會出現信號的干擾,這個干擾就稱為碰撞,其結果將會導致該次傳輸的失敗,因為必須采用適當的技術防止碰撞的產生。
1 射頻識別系統介紹
射頻識別技術(Radio Frequency Identification,RFID)是一種非接觸式自動識別技術,與傳統的識別方式相比,它無需直接接觸、無需光學可視、無需人工干預即可完成信息輸入和處理,具有操作方便快捷、存儲數據量大、保密性好、反應時間短、對環境適應性強等優點,現在已廣泛應用于工業自動化、商業自動化和交通運輸管理等領域,成為當前IT業研究的熱點技術之一。
典型的RFID系統主要包括三個部分:電子標簽(tag)、讀寫器(Read)和應用系統(如圖1)。電子標簽放置在被識別的對象上,是RFID系統真正的數據載體。通常電子標簽處于休眠狀態,一旦進入讀寫器作用范圍內就會被激活,并與讀寫器進行無線射頻方式的非接觸式雙向數據通信,以達到識別并交換數據的目的。此外,許多讀寫器還都有附加的通信接口,以便將所獲的數據傳給應用系統進行進一步的處理。
RFID系統工作時,當有2個或2個以上的電子標簽同時在同一個讀寫器的作用范圍內向讀寫器發送數據的時候,就會出現信號的干擾,這個干擾就稱為碰撞,其結果將會導致該次傳輸的失敗,因為必須采用適當的技術防止碰撞的產生。
3 ALOHA算法及仿真結果
目前有多種防碰撞算法,主要分為ALOHA算法和樹形分解算法。由于樹形分解法有時會使某些標簽的識別延遲可能比較長,所以ALOHA算法因具有簡單易實現等優點而成為應用最廣的算法之一。ALOHA算法是在ALOHA思想的基礎上,根據RFID系統的特點和技術要求不斷改進形成的算法體系。它的本質是分離標簽的應答時間,使標簽在不同的時隙內發送應答。一旦發生碰撞,一般采取退避原則,等待下一循環周期發送應答。ALOHA算法又分為幀時隙ALOHA算法、動態幀時隙ALOHA算法和分組幀時隙ALOHA算法等。
3.1 幀時隙ALOHA算法
幀時隙ALOHA(Framed slotted Aloha,FSA)算法是基于通信領域的ALOHA協議提出的。在FSA中,"幀"(Frame)是由讀寫器定義的一段時間長度,其中包含若干時隙。標簽在每個幀內隨機選擇一個時隙發送數據。所有標簽應答同步,即只能在時隙(Slot)開始點向讀寫器發送信息,每個標簽發送的時隙是隨機選擇的。時隙可以分為三類:空閑時隙、應答時隙和碰撞時隙。在空閑時隙中沒有識別任何標簽,應答時隙中可以正確識別一個標簽。當一個時隙中有多個標簽同時發送應答時就會產生碰撞,形成碰撞時隙。碰撞的標簽退出當前循環,等待參與新的幀循環。
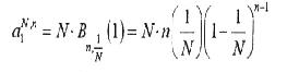
讀寫器當前使用幀的長度為N,標簽數為n,在一個時隙中存在r個標簽的概率為:
當r=1時,表示一個時隙只有一個標簽,即成功讀取的時隙。因此,在一個閱讀周期中讀取標簽數的期望值為:
系統效率為PN:
圖2示出了當幀的長度為256時的系統效率。當我們要想獲得最大效率時,使得:
因此,當標簽數量與幀時隙數相同時,讀寫器的識讀效率最高。標簽數量與幀時隙數不匹配時,識讀效率會大大下降。如標簽數遠小于幀時隙數,會造成大量的空閑時隙數;而當標簽數量遠高于幀時隙數時,則會產生過多的碰撞時隙;這兩種情況都會導致識別效率的降低。
3.2 動態幀時隙ALOHA算法
為使系統效率最優,提出動態幀時隙ALOHA(DynamicFramed Slotted Aloha,DFSA)算法,使得幀時隙數等于參與循環的標簽數。DFSA每幀時隙數可以根據標簽數的變化及時調整,使得標簽數量與幀時隙數匹配。在開始新一個幀循環時,讀寫器要對參與幀循環的標簽數進行估計,這個過程在整個算法中發揮著重要的作用。如果所估計的標簽數與實際情況相差甚遠,那么算法的效率就會發生大幅的下降,這樣就影響了系統的穩定性。
目前,主要有兩種估計標簽數的方法。第一種方法是在發生沖突時,一個時隙中至少有兩個標簽發生碰撞。標簽的估計函數為:
另一種方法是基于時隙二項分布來估計標簽數。假設N代表當前幀的長度,n表示標簽數。標簽選擇各個時隙數是等概率的,同一個時隙內出現r個標簽的概率,根據二項分布原理,得:
利用切比雪夫不等式估計標簽數目。
3.3 分組幀時隙ALOHA算法
在RFID系統中,我們經常使用動態幀時隙ALOHA算
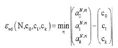
法。但是由于最大幀時隙數有限制。當標簽數量過大時,我們不能無限制地增加幀的時隙數。因此提出了分組幀時隙ALOHA(Group Framed Slotted Aloha,GFSA)算法。分組的目的是要限制標簽的應答數量,使得參與識別循環的標簽與幀的時隙數匹配。在GFSA算法中,如果估計出待識別的標簽數超過了最大幀時隙數所能匹配的范圍時,保證每一組的待識別標簽與最大幀時隙數相匹配。
由上式我們可以得到n=354。如果未識別標簽數大于354時,為達到最佳系統效率,我們將標簽分成兩組。我們提出的分組算法是基于最大幀時隙數為256的動態幀時隙ALOHA算法。在算法中,首先定義:
(1)為達到最大系統效率,通過獲取最后一個閱讀幀的結果(0或是1)來決定對分組標簽進行響應,以確定新循環幀的大小。
(2)為減小RFID系統的復雜性,通過使用n=c1+2ck估計函數來確定標簽數量。
(3)利用上面推導出的n=354,作為分組的條件。當系統內標簽數量比較小時,則使用最大幀時隙數為256的動態幀時隙ALOHA算法。一旦標簽數量超過了354時,則使用分組幀時隙ALOHA算法,來限制系統內的響應的標簽數量。過程如圖4所示。
對提出的算法進行了仿真。結果表明:當標簽數小于354時,分組幀時隙ALOHA算法采用動態幀時隙ALOHA算法;當標簽數大于354時,分組幀時隙ALOHA算法對標簽數進行分組識別。所以標簽數越多,分組幀時隙ALOHA算法所使用的時隙數越少,效率越高。如圖6所示。
4 結束語
本文基于ALOHA算法,分別對幀時隙算法和動態幀時隙算法進行研究和分析,并提出一種利用二進制樹形分組的時隙ALHOA算法。對提出的分組算法和傳統的動態幀時隙算法進行比較。當標簽數過大時,采用此方法有利于提高系統效率,并減少了計算和操作的復雜度。
射頻識別技術(Radio Frequency Identification,RFID)是一種非接觸式自動識別技術,與傳統的識別方式相比,它無需直接接觸、無需光學可視、無需人工干預即可完成信息輸入和處理,具有操作方便快捷、存儲數據量大、保密性好、反應時間短、對環境適應性強等優點,現在已廣泛應用于工業自動化、商業自動化和交通運輸管理等領域,成為當前IT業研究的熱點技術之一。
典型的RFID系統主要包括三個部分:電子標簽(tag)、讀寫器(Read)和應用系統(如圖1)。電子標簽放置在被識別的對象上,是RFID系統真正的數據載體。通常電子標簽處于休眠狀態,一旦進入讀寫器作用范圍內就會被激活,并與讀寫器進行無線射頻方式的非接觸式雙向數據通信,以達到識別并交換數據的目的。此外,許多讀寫器還都有附加的通信接口,以便將所獲的數據傳給應用系統進行進一步的處理。

RFID系統工作時,當有2個或2個以上的電子標簽同時在同一個讀寫器的作用范圍內向讀寫器發送數據的時候,就會出現信號的干擾,這個干擾就稱為碰撞,其結果將會導致該次傳輸的失敗,因為必須采用適當的技術防止碰撞的產生。
3 ALOHA算法及仿真結果
目前有多種防碰撞算法,主要分為ALOHA算法和樹形分解算法。由于樹形分解法有時會使某些標簽的識別延遲可能比較長,所以ALOHA算法因具有簡單易實現等優點而成為應用最廣的算法之一。ALOHA算法是在ALOHA思想的基礎上,根據RFID系統的特點和技術要求不斷改進形成的算法體系。它的本質是分離標簽的應答時間,使標簽在不同的時隙內發送應答。一旦發生碰撞,一般采取退避原則,等待下一循環周期發送應答。ALOHA算法又分為幀時隙ALOHA算法、動態幀時隙ALOHA算法和分組幀時隙ALOHA算法等。
3.1 幀時隙ALOHA算法
幀時隙ALOHA(Framed slotted Aloha,FSA)算法是基于通信領域的ALOHA協議提出的。在FSA中,"幀"(Frame)是由讀寫器定義的一段時間長度,其中包含若干時隙。標簽在每個幀內隨機選擇一個時隙發送數據。所有標簽應答同步,即只能在時隙(Slot)開始點向讀寫器發送信息,每個標簽發送的時隙是隨機選擇的。時隙可以分為三類:空閑時隙、應答時隙和碰撞時隙。在空閑時隙中沒有識別任何標簽,應答時隙中可以正確識別一個標簽。當一個時隙中有多個標簽同時發送應答時就會產生碰撞,形成碰撞時隙。碰撞的標簽退出當前循環,等待參與新的幀循環。
讀寫器當前使用幀的長度為N,標簽數為n,在一個時隙中存在r個標簽的概率為:

當r=1時,表示一個時隙只有一個標簽,即成功讀取的時隙。因此,在一個閱讀周期中讀取標簽數的期望值為:

系統效率為PN:

圖2示出了當幀的長度為256時的系統效率。當我們要想獲得最大效率時,使得:



因此,當標簽數量與幀時隙數相同時,讀寫器的識讀效率最高。標簽數量與幀時隙數不匹配時,識讀效率會大大下降。如標簽數遠小于幀時隙數,會造成大量的空閑時隙數;而當標簽數量遠高于幀時隙數時,則會產生過多的碰撞時隙;這兩種情況都會導致識別效率的降低。
3.2 動態幀時隙ALOHA算法
為使系統效率最優,提出動態幀時隙ALOHA(DynamicFramed Slotted Aloha,DFSA)算法,使得幀時隙數等于參與循環的標簽數。DFSA每幀時隙數可以根據標簽數的變化及時調整,使得標簽數量與幀時隙數匹配。在開始新一個幀循環時,讀寫器要對參與幀循環的標簽數進行估計,這個過程在整個算法中發揮著重要的作用。如果所估計的標簽數與實際情況相差甚遠,那么算法的效率就會發生大幅的下降,這樣就影響了系統的穩定性。
目前,主要有兩種估計標簽數的方法。第一種方法是在發生沖突時,一個時隙中至少有兩個標簽發生碰撞。標簽的估計函數為:

另一種方法是基于時隙二項分布來估計標簽數。假設N代表當前幀的長度,n表示標簽數。標簽選擇各個時隙數是等概率的,同一個時隙內出現r個標簽的概率,根據二項分布原理,得:

利用切比雪夫不等式估計標簽數目。

3.3 分組幀時隙ALOHA算法
在RFID系統中,我們經常使用動態幀時隙ALOHA算
法。但是由于最大幀時隙數有限制。當標簽數量過大時,我們不能無限制地增加幀的時隙數。因此提出了分組幀時隙ALOHA(Group Framed Slotted Aloha,GFSA)算法。分組的目的是要限制標簽的應答數量,使得參與識別循環的標簽與幀的時隙數匹配。在GFSA算法中,如果估計出待識別的標簽數超過了最大幀時隙數所能匹配的范圍時,保證每一組的待識別標簽與最大幀時隙數相匹配。


由上式我們可以得到n=354。如果未識別標簽數大于354時,為達到最佳系統效率,我們將標簽分成兩組。我們提出的分組算法是基于最大幀時隙數為256的動態幀時隙ALOHA算法。在算法中,首先定義:
(1)為達到最大系統效率,通過獲取最后一個閱讀幀的結果(0或是1)來決定對分組標簽進行響應,以確定新循環幀的大小。
(2)為減小RFID系統的復雜性,通過使用n=c1+2ck估計函數來確定標簽數量。
(3)利用上面推導出的n=354,作為分組的條件。當系統內標簽數量比較小時,則使用最大幀時隙數為256的動態幀時隙ALOHA算法。一旦標簽數量超過了354時,則使用分組幀時隙ALOHA算法,來限制系統內的響應的標簽數量。過程如圖4所示。


對提出的算法進行了仿真。結果表明:當標簽數小于354時,分組幀時隙ALOHA算法采用動態幀時隙ALOHA算法;當標簽數大于354時,分組幀時隙ALOHA算法對標簽數進行分組識別。所以標簽數越多,分組幀時隙ALOHA算法所使用的時隙數越少,效率越高。如圖6所示。

4 結束語
本文基于ALOHA算法,分別對幀時隙算法和動態幀時隙算法進行研究和分析,并提出一種利用二進制樹形分組的時隙ALHOA算法。對提出的分組算法和傳統的動態幀時隙算法進行比較。當標簽數過大時,采用此方法有利于提高系統效率,并減少了計算和操作的復雜度。