長距離HF射頻識別信號檢測技術研究與實現
作者:陳鵬 賴聲禮 陳佳陽
來源:RFID世界網
日期:2008-01-08 15:08:38
摘要:針對UHF頻段射頻識別(RFID)技術的不足,提出一種長距離HF頻段的RFID信號檢測方案,重點在于增強靈敏度、提高標簽感應距離。先分析標簽負載調制的基本原理和反射信號的調制特點,再詳細闡述檢測通道關鍵環節設計與實現。
EPC Global是在全球統一標識系統和計算機互聯網的基礎上,利用射頻識別技術(RFID) 、無線數據通信等技術,給每一個實體一個唯一的代碼,構造的一個覆蓋世界上萬事萬物的實物互聯網,通常簡稱“物聯網”,可提高供應鏈管理水平、降低成本,被譽為具有革命性意義的新技術 。
EPC Global推薦采用的是UHF頻段的RFID技術。由于UHF頻段的電磁波波長較短,容易被水分子吸引而導致信號的急劇惡化,所以UHF頻段的標簽不適宜貼在水份含量大的貨品上,如酒、飲料等,同時也不適合濕度比較大的應用環境。HF頻段(13. 56MHz)的RFID技術則可有效地補充UHF頻段的這一不足處,因為HF頻段的電磁波波長較長,對水份不敏感。目前,短距離HF頻段的RFID技術比較成熟,而長距離HF頻段的RFID技術還有待發展。下面首先分析HF射頻識別信號的反射負載調制原理 ,如圖1所示。
實現長距離HF射頻識別要兩個基本條件:閱讀器能夠“喚醒”標簽芯片;閱讀器能夠檢測到反射負載調制信號。實現長距離HF射頻識別是一個系統性問題,需要考慮多方面的因素,包括增強閱讀器的發射功率、改進閱讀器的天線、提高標簽天線的品質因素、提高接收靈敏度等。本文主要從信號檢測方面著手研究,提出一種分立式反射調制信號檢測方案。關鍵是改善接收通路環節設計和提高信噪比,從而解決現有短距離閱讀器的缺陷。
1 反射信號的調制與編碼
標簽在閱讀器的感應磁場區域內,利用標簽芯片切換負載,調制載波( fc = 13.56MHz)以產生副載波fs。副載波的產生實質是對閱讀器發射的載波進行分頻。根據ISO國際標準定義的數值,調制幅度至少為10 mV。
負載調制有兩種模式:單副載波模式與雙副載波模式。使用一種副載波時,負載調制的副載波頻率fs1 是fc /32 (423. 75 kHz) ;使用兩種副載波時,負載調制的副載波頻率fs1 是fc /32, 頻率fs2 是fc /28(484. 28 kHz) ,它們之間應當是連續的相位關系。
使用單副載波的位編碼。邏輯0開始于8個fs1的脈沖, 隨后是未調制的18. 88 μs時間, 見圖2(A) 。邏輯1開始于未調制的18. 88μs時間,隨后是8個fs1 的脈沖,見圖2 (B) 。
2 檢測方案設計
上述的反射信號是利用副載波將標簽數據信息調制到載波中。因此,要從反射信號中提取標簽的數據信息, 先要對反射信號進行包絡檢波, 從 13. 56MHz的調制載波中提取副載波信號; 然后再對副載波進行解調才能提取出數據信息。對副載波進行解調,主要是檢測副載波的頻率與過零次數。本文提出一種新型副載波檢測方案,如圖4所示。閱讀器天線端的A點電壓變化信號,先經并聯諧振回路選頻,中心頻率為13. 56MHz,基本帶寬為500 kB,滿足副載波信號的通帶要求。再經包絡檢波器,將副載波從載波信號中分離出來。包絡檢波的輸出信號較微弱,為避免噪聲與幅度波動對副載波解調的不良影響,需要利用帶通濾波器和中頻放大器來改善信噪比。經放大的信號,經帶通濾波器進入解調器。解調電路包括限幅器、移相器、乘法解調器、低通濾波器。解調電路將副載波信號的頻率變化轉換成電平信號的幅度變化。最后由電平判決電路(滯回比較電路)將模擬信號轉換成數字信號,送入微控制器中,見圖4。
3.1 包絡檢波
采用二極管包絡檢波方法,利用了二極管單向導電特性和檢波負載RC充放電過程,如圖5所示。
3.2 中頻帶通濾波
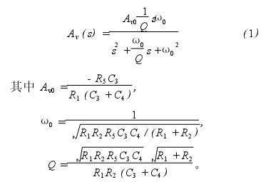
一般RC 無源濾波電路傳遞函數幅度小, 帶負載能力差。而由集成運放和R、C 元件組成的RC有源濾波電路具有傳遞增益, 帶負載能力強,有利于改善電路濾波特性。本文采用一種有源濾波器:二階無限增益多路反饋帶通濾波。其模型如圖7所示, 二階RC 網絡接于運放的反相輸入端。這種負反饋聯接,使集成運放工作于線性狀態,有利于避免電路自激。其傳遞函數如式( 1 )所示。該帶通濾波的中心頻率設置為455kHz, 3 dB帶寬為80 kHz。
反射信號經中頻放大及帶通濾波后,需通過限幅器整形成為矩形波,再進行副載波解調,檢測目標在于副載波的頻率變化。限幅處理非但沒有影響波形所攜帶的信息,而且還有利于解調信號的電平門限判決。
限幅器的矩形波分兩路輸出:一路直接送至乘法電路的信號為Vt ,另一路經移相器送入乘法電路的信號為Vt’。移相器的基本模型如圖8所示,由串聯電容和并聯諧振回路組成。串聯電容Ct起移相作用, Cp和L 組成的并聯諧振回路起選頻作用, Ct與Cp起阻抗變換作用。Vt與Vt’之間的關系如式(2)所示,相移大小為φ。
3.4 判決電路
本文提出一種新型的副載波檢測方案, 獲得較高的靈敏度,有效地從微弱的長距離反射信號檢測出標簽應答數據。經實驗測試, 有效的標簽感應距離可達50 cm。采用這種檢測方法的射頻識別閱讀器,工作距離長、可靠性高、制造成本低, 可作為UHF頻段射頻識別閱讀器某些應用領域的補充,其市場前景很有吸引力。
參考文獻
1 強強, 竇延平. 基于RFID技術的AUTO-ID全球網絡的構建. 計算機工程, 2004; 30 (12) : 191—193
2Chen Peng, Lai Shengli. The analysis and design of a novel passive reflection modulation tag. 4 th International Conference on Microwave and Milli2meterWave Technology, Proceedings, 18—21Aug 2004: 402—405. IEEE, 345E 47 th ST, New York, NY 10017 USA
3 張峰, 李杰, 李世義. 基于副載波的負載調制技術實現引信感應裝定信息反饋的方法. 探測與控制學報, 2003; 25 (2) : 16—19
4 陳鵬, 賴聲禮. 基于FPSL IC的射頻識別發送通道設計與實現,電測與儀表, 2006 (已錄用) .
5 黃智偉. 無線發射與接收電路設計. 北京:北京航空航天大學出版社, 2004
EPC Global推薦采用的是UHF頻段的RFID技術。由于UHF頻段的電磁波波長較短,容易被水分子吸引而導致信號的急劇惡化,所以UHF頻段的標簽不適宜貼在水份含量大的貨品上,如酒、飲料等,同時也不適合濕度比較大的應用環境。HF頻段(13. 56MHz)的RFID技術則可有效地補充UHF頻段的這一不足處,因為HF頻段的電磁波波長較長,對水份不敏感。目前,短距離HF頻段的RFID技術比較成熟,而長距離HF頻段的RFID技術還有待發展。下面首先分析HF射頻識別信號的反射負載調制原理 ,如圖1所示。

圖1 負載調制原理
實現長距離HF射頻識別要兩個基本條件:閱讀器能夠“喚醒”標簽芯片;閱讀器能夠檢測到反射負載調制信號。實現長距離HF射頻識別是一個系統性問題,需要考慮多方面的因素,包括增強閱讀器的發射功率、改進閱讀器的天線、提高標簽天線的品質因素、提高接收靈敏度等。本文主要從信號檢測方面著手研究,提出一種分立式反射調制信號檢測方案。關鍵是改善接收通路環節設計和提高信噪比,從而解決現有短距離閱讀器的缺陷。
1 反射信號的調制與編碼
標簽在閱讀器的感應磁場區域內,利用標簽芯片切換負載,調制載波( fc = 13.56MHz)以產生副載波fs。副載波的產生實質是對閱讀器發射的載波進行分頻。根據ISO國際標準定義的數值,調制幅度至少為10 mV。
負載調制有兩種模式:單副載波模式與雙副載波模式。使用一種副載波時,負載調制的副載波頻率fs1 是fc /32 (423. 75 kHz) ;使用兩種副載波時,負載調制的副載波頻率fs1 是fc /32, 頻率fs2 是fc /28(484. 28 kHz) ,它們之間應當是連續的相位關系。
使用單副載波的位編碼。邏輯0開始于8個fs1的脈沖, 隨后是未調制的18. 88 μs時間, 見圖2(A) 。邏輯1開始于未調制的18. 88μs時間,隨后是8個fs1 的脈沖,見圖2 (B) 。

圖2 單副載波的邏輯0與邏輯1

圖3 雙副載波的邏輯0與邏輯1
2 檢測方案設計
上述的反射信號是利用副載波將標簽數據信息調制到載波中。因此,要從反射信號中提取標簽的數據信息, 先要對反射信號進行包絡檢波, 從 13. 56MHz的調制載波中提取副載波信號; 然后再對副載波進行解調才能提取出數據信息。對副載波進行解調,主要是檢測副載波的頻率與過零次數。本文提出一種新型副載波檢測方案,如圖4所示。閱讀器天線端的A點電壓變化信號,先經并聯諧振回路選頻,中心頻率為13. 56MHz,基本帶寬為500 kB,滿足副載波信號的通帶要求。再經包絡檢波器,將副載波從載波信號中分離出來。包絡檢波的輸出信號較微弱,為避免噪聲與幅度波動對副載波解調的不良影響,需要利用帶通濾波器和中頻放大器來改善信噪比。經放大的信號,經帶通濾波器進入解調器。解調電路包括限幅器、移相器、乘法解調器、低通濾波器。解調電路將副載波信號的頻率變化轉換成電平信號的幅度變化。最后由電平判決電路(滯回比較電路)將模擬信號轉換成數字信號,送入微控制器中,見圖4。

3.1 包絡檢波
采用二極管包絡檢波方法,利用了二極管單向導電特性和檢波負載RC充放電過程,如圖5所示。

圖5 包絡檢波器

圖6 檢波增益比較
3.2 中頻帶通濾波
一般RC 無源濾波電路傳遞函數幅度小, 帶負載能力差。而由集成運放和R、C 元件組成的RC有源濾波電路具有傳遞增益, 帶負載能力強,有利于改善電路濾波特性。本文采用一種有源濾波器:二階無限增益多路反饋帶通濾波。其模型如圖7所示, 二階RC 網絡接于運放的反相輸入端。這種負反饋聯接,使集成運放工作于線性狀態,有利于避免電路自激。其傳遞函數如式( 1 )所示。該帶通濾波的中心頻率設置為455kHz, 3 dB帶寬為80 kHz。

圖7 二階帶通濾波電路

反射信號經中頻放大及帶通濾波后,需通過限幅器整形成為矩形波,再進行副載波解調,檢測目標在于副載波的頻率變化。限幅處理非但沒有影響波形所攜帶的信息,而且還有利于解調信號的電平門限判決。
限幅器的矩形波分兩路輸出:一路直接送至乘法電路的信號為Vt ,另一路經移相器送入乘法電路的信號為Vt’。移相器的基本模型如圖8所示,由串聯電容和并聯諧振回路組成。串聯電容Ct起移相作用, Cp和L 組成的并聯諧振回路起選頻作用, Ct與Cp起阻抗變換作用。Vt與Vt’之間的關系如式(2)所示,相移大小為φ。


圖8 移相解調模型

圖9 移相器的相頻特性

3.4 判決電路


圖10 電平門限判決電路
本文提出一種新型的副載波檢測方案, 獲得較高的靈敏度,有效地從微弱的長距離反射信號檢測出標簽應答數據。經實驗測試, 有效的標簽感應距離可達50 cm。采用這種檢測方法的射頻識別閱讀器,工作距離長、可靠性高、制造成本低, 可作為UHF頻段射頻識別閱讀器某些應用領域的補充,其市場前景很有吸引力。
參考文獻
1 強強, 竇延平. 基于RFID技術的AUTO-ID全球網絡的構建. 計算機工程, 2004; 30 (12) : 191—193
2Chen Peng, Lai Shengli. The analysis and design of a novel passive reflection modulation tag. 4 th International Conference on Microwave and Milli2meterWave Technology, Proceedings, 18—21Aug 2004: 402—405. IEEE, 345E 47 th ST, New York, NY 10017 USA
3 張峰, 李杰, 李世義. 基于副載波的負載調制技術實現引信感應裝定信息反饋的方法. 探測與控制學報, 2003; 25 (2) : 16—19
4 陳鵬, 賴聲禮. 基于FPSL IC的射頻識別發送通道設計與實現,電測與儀表, 2006 (已錄用) .
5 黃智偉. 無線發射與接收電路設計. 北京:北京航空航天大學出版社, 2004